Example ImageÃÀ¸ß÷

EN
EN
  • ÓªÒµ×Éѯ

    Öйú£º

    Email: marketing@medicilon.com.cn

    ÓªÒµ×ÉѯרÏߣº400-780-8018

    £¨½öÏÞЧÀÍ×Éѯ£¬£¬£¬ÆäËûÊÂÒËÇ벦´ò´¨É³×ܲ¿µç»°£©

    ´¨É³×ܲ¿µç»°: +86 (21) 5859-1500

    ÍâÑó£º

    +1(781)535-1428(U.S.)

    0044 7790 816 954 (Europe)

    Email:marketing@medicilon.com

ÔÚÏßÁôÑÔ¡Á
µã»÷Çл»
News information
ÐÂÎÅ×ÊѶ

°¸ÀýÑо¿£ººÏ³Éõè¾¶¡¢¹Ì̬Ñо¿ÓëÔÓÖÊ¿ØÖÆ£¨Ð¡·Ö×ÓÖÊÁÏÒ©¹¤ÒÕÓÅ»¯£©

2026-01-23
|
»á¼ûÁ¿£º
ÏîÄ¿ÀàÐÍ£ºÐ¡·Ö×ÓÖÊÁÏÒ©£¨API£©
CMC ¹Ø×¢Öص㣺 ºÏ³Éõè¾¶ÓÅ»¯¡¢¹Ì̬Ñо¿¼°ÔÓÖʹÜÀí

¸ÅÊö

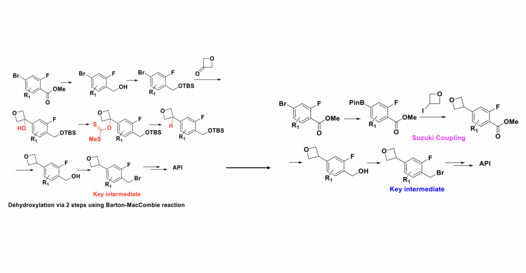
ÔÚÒ»ÏîС·Ö×ÓÏîÄ¿ÖУ¬£¬£¬ÃÀ¸ß÷¶Ô API µÄºÏ³Éõè¾¶¼°¹Ì̬ÐÎ̬²ßÂÔ¾ÙÐÐÁËÖØÐÂÉè¼Æ£¬£¬£¬ÏÔÖøÌáÉýÁË¿ÉÖÆÔìÐÔ¡¢Çå¾²ÐÔºÍÆÊÎö¿ØÖÆÄÜÁ¦¡£¡£ ¡£¡£¡£¡£ÔÚͳһµÄ CMC ¿ò¼ÜÏ£¬£¬£¬¸ÃÏîĿϵͳÕûºÏÁ˹¤ÒÕ»¯Ñ§¡¢¹Ì̬¿ÆÑ§ÓëÆÊÎöÒªÁ쿪·¢ÊÂÇé¡£¡£ ¡£¡£¡£¡£

Òªº¦Ð§¹û

1. ºÏ³Éõè¾¶¼ò»¯ÓëÊÕÂÊÌá¸ß£º
½«Òªº¦ÖÐÐÄÌåµÄºÏ³É°ì·¨ÓÉ 7 ²½Ëõ¼õÖÁ 4 ²½£¬£¬£¬ÊÕÂÊ´Ó<5%>20%£»£»£»Í¬Ê±È¥³ýÁ˾ßÓжñ³ôÆøÏ¢µÄº¬ÁòÊÔ¼Á£¬£¬£¬²¢×èÖ¹ÁË¶Ô SFC ÊÖÐÔÊèÉ¢µÄÒÀÀµ¡£¡£ ¡£¡£¡£¡£
2. ÎȽ¡µÄ¹Ì̬ÐÎ̬ѡÔñ£º
ͨ¹ý XRPD ±ÈÕÕÆÊÎöºÍ½á¾§É¸Ñ¡£¬£¬£¬È·¶¨ÁË×îÓÅÑÎÐÍ£»£»£»Ëæºó¿ª·¢¶¨ÖÆ»¯½á¾§¹¤ÒÕ£¬£¬£¬»ñµÃ¸ßÖÊÁ¿µ¥¾§£¬£¬£¬ÓÃÓڽṹȷ֤¼°ÖªÊ¶²úȨ£¨IP£©Ö§³Ö¡£¡£ ¡£¡£¡£¡£
3. ÔÓÖÊÓëÈܼÁ¿ØÖÆÄÜÁ¦ÌáÉý£º
¹¹½¨º­¸Ç 20 ÓàÖֽᾧÓë¸ÉÔï²ßÂÔµÄÒªÁ칤¾ßÏ䣬£¬£¬ÓÐÓýµµÍ²ÐÁôÈܼÁº¬Á¿£»£»£»Í¬Ê±ÓÅ»¯ÆÊÎöÒªÁ죬£¬£¬ÊµÏÖ¶Ô´Ëǰ±£´æÖصþÎÊÌâµÄÏà¹ØÔÓÖʵÄÇåÎúÊèÉ¢ÓëÓÐÓÿØÖÆ¡£¡£ ¡£¡£¡£¡£

1. ÌáÉýЧÂÊ

õè¾¶ÓÅ»¯£¬£¬£¬Ìá¸ßЧÂÊ.png

1£© ÏßÐԺϳɰ취ÓÉ 12 ²½ïÔÌ­ÖÁ 7 ²½£¬£¬£¬×ÜÊÕÂÊ´Ó<1%>10%£¬£¬£¬ÇÒÎÞÐè¾ÙÐй轺Öù´¿»¯¡£¡£ ¡£¡£¡£¡£

2. ïÔÌ­°ì·¨

ïÔÌ­ºÏ³É°ì·¨.png

2£©ÃÀ¸ß÷ͨ¹ýÖØÐÂÉè¼ÆAPI µÄ CMC¹¤ÒÕ£¬£¬£¬½«Òªº¦ÖÐÐÄÌåµÄºÏ³Éõè¾¶ÓÉ 7 ²½Ëõ¼õÖÁ 4 ²½£¬£¬£¬²¢½«ÊÕÂÊ´Óȱ·¦ 5% Ìá¸ßµ½Áè¼Ý 20%¡£¡£ ¡£¡£¡£¡£

¹Ì̬Ñо¿Æ½Ì¨

1£©ÑÎÐÍÓë¾§ÐÍÑо¿£º

¶Ô²î±ðÑÎÐ;ÙÐÐ XRPD ±ÈÕÕ£¨ÈçÑÎËáÑÎÓëÆ»¹ûËáÑΣ©

Ñκ;§Ìå-1.png

Ñκ;§Ìå-2.png

2£©¾§ÐÍÑо¿£º

½ÏÁ¿¹Å°åÓëÐÂÐͽᾧҪÁ죬£¬£¬ÒÔ»ñµÃ¿ÉÓÃÓڽṹÆÊÎöµÄµ¥¾§¡£¡£ ¡£¡£¡£¡£

¾§ÌåÐÎʽ.png

ÈܼÁ²ÐÁôÓëÔÓÖÊ¿ØÖÆ

1£©ÈܼÁ²ÐÁôÈ¥³ý£º½ÓÄÉ 20 ÓàÖÖ¾­µä¼°×ÔÖ÷¿ª·¢µÄÒªÁìïÔÌ­ÈܼÁ²ÐÁô¡£¡£ ¡£¡£¡£¡£

ÈܼÁ²ÐÁôÈ¥³ý.png

2£©API ÆÊÎöÒªÁ쿪·¢£º

API ÆÊÎöÒªÁì.png

ԭʼÆÊÎöÒªÁì¹âÆ×

ԭʼÆÊÎöÒªÁì¹âÆ×.jpg

Ïà¹ØÔÓÖÊÎÞ·¨ÍêÈ«ÊèÉ¢

ÆÊÎöÒªÁìÓÅ»¯ºóµÄ¹âÆ×

ÆÊÎöÒªÁìÓÅ»¯ºóµÄ¹âÆ×.jpg

Ïà¹ØÔÓÖÊ¿ÉÒÔ±»ÓÐÓÃÊèÉ¢

Ïà¹ØÐÂÎÅ
¡Á
ËÑË÷ÑéÖ¤
µã»÷Çл»
¡¾ÍøÕ¾µØÍ¼¡¿¡¾sitemap¡¿