ÃÀ¸ß÷
ÓªÒµ×Éѯ
Öйú£º
Email: marketing@medicilon.com.cn
ÓªÒµ×ÉѯרÏߣº400-780-8018
£¨½öÏÞЧÀÍ×Éѯ£¬£¬£¬£¬ÆäËûÊÂÒËÇ벦´ò´¨É³×ܲ¿µç»°£©
´¨É³×ܲ¿µç»°: +86 (21) 5859-1500
ÍâÑó£º
+1(781)535-1428(U.S.)
0044 7790 816 954 (Europe)
Email:marketing@medicilon.com



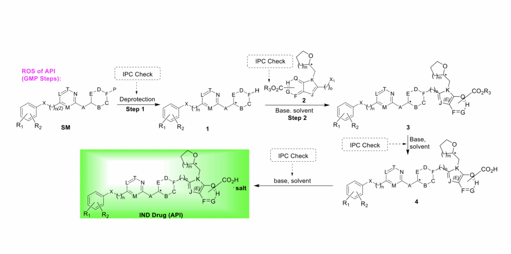
ÃÀ¸ß÷ΪһÏîС·Ö×Óл¯Ñ§ÊµÌå (NCE) ÏîÄ¿ÌṩÁ˸߶ȼ¯³ÉµÄÒ»Õ¾»¯ CMC ЧÀÍ£¬£¬£¬£¬ÖúÁ¦¸ÃÏîÄ¿×ÔÆô¶¯Ö®ÈÕÆðÔ¼ 12 ¸öÔÂÄÚ»ñµÃÁËÐÂÒ©ÁÙ´²ÊÔÑéÉêÇë (IND) µÄÅú×¼¡£¡£¡£¡£¡£¡£ÏîÄ¿½ÓÄɽ׶λ¯¡¢ÒÔÖÊÁ¿Ô´ÓÚÉè¼Æ£¨QbD£©Îªµ¼ÏòµÄ CMC ²ßÂÔ£¬£¬£¬£¬Í¬Ê±Öª×ãÁËÃÀ¹úʳÎïÒ©Æ·¼àÊÓ¹ÜÀí¾Ö (FDA) ºÍ¹ú¼ÒÒ©Æ·¼àÊÓ¹ÜÀí¾Ö (NMPA) µÄî¿ÏµÒªÇ󣬣¬£¬£¬²¢Ö§³ÖÁËÖÐÃÀÁ½¹úµÄ²¢ÐÐÉ걨¡£¡£¡£¡£¡£¡£
´ÓÔçÆÚºÏ³Éõè¾¶ÓÅ»¯ºÍʵÑéÊÒÑéÖ¤½×¶Î×îÏÈ£¬£¬£¬£¬ÃÀ¸ß÷µÄ CMC ÍŶÓÔÚÑϿᡢÒÔÀï³Ì±®Îªµ¼ÏòµÄÏîÄ¿¹ÜÀíʱ¼ä±íÏ£¬£¬£¬£¬ÏµÍ³ÍƽøÁ˹¤ÒÕ¿ª·¢¡¢¹¤ÒÕÇå¾²ÐÔÆÀ¹À¡¢ÆÊÎöÒªÁ쿪·¢ÓëÑéÖ¤¡¢GMP Éú²úÒÔ¼° CTD Ä£¿£¿£¿é 3 µÄ׫дÓëÉ걨׼±¸ÊÂÇé¡£¡£¡£¡£¡£¡£
1¡¢ºÏ³Éõè¾¶µÄÖØÐÂÉè¼ÆÓëÓÅ»¯£¬£¬£¬£¬ÌáÉý¹¤ÒÕ·Å´óÐÔÓëÎȽ¡ÐÔ
2¡¢ÊµÑéÊÒÑéÖ¤ÓëСÊԺϳÉ
3¡¢¹¤ÒÕÇå¾²ÐÔÆÀ¹ÀÓëΣº¦ÆÊÎö
4¡¢ÆÊÎöÒªÁ쿪·¢ÓëÑéÖ¤
5¡¢ÓÃÓÚ IND É걨µÄ GMP ¼¶ÖÊÁÏÒ©Åú´ÎÉú²ú
6¡¢CTD Ä£¿£¿£¿é 3 ׫д¼°×¢²áÉ걨׼±¸Ö§³Ö


Ïà¹ØÐÂÎÅ