ÃÀ¸ß÷
ÓªÒµ×Éѯ
Öйú£º
Email: marketing@medicilon.com.cn
ÓªÒµ×ÉѯרÏߣº400-780-8018
£¨½öÏÞЧÀÍ×Éѯ£¬£¬£¬£¬ÆäËûÊÂÒËÇ벦´ò´¨É³×ܲ¿µç»°£©
´¨É³×ܲ¿µç»°: +86 (21) 5859-1500
ÍâÑó£º
+1(781)535-1428(U.S.)
0044 7790 816 954 (Europe)
Email:marketing@medicilon.com



ë®´ú»¯ºÏÎïÊÇÖ¸½«»¯ºÏÎï·Ö×ÓÖÐij¸ö»òijЩ̼Çâ¼üÖеÄÇâÔ×ÓÌæ»»³Éë®Ô×Óºó»ñµÃµÄÐµĻ¯ºÏÎï¡£¡£¡£¡£¡£ËüÊÇÒ»ÀàÖ÷ÒªµÄ¸ß¸½¼ÓÖµ»¯Ñ§Æ·£¬£¬£¬£¬³ý×÷ΪÈܼÁ±»ÆÕ±éÓ¦ÓÃÓں˴ʲÕñÁìÓòÍ⣬£¬£¬£¬Ò²ÊǽüÄêÀ´ÐÂÒ©Ñз¢ÁìÓòÈÈÃÅÖ®Ò»¡£¡£¡£¡£¡£ë®´ú»¯ºÏÎïÔÚÉúÎï´úлÆÊÎö¡¢ºË´Å¹²Õñ¡¢¹âµçÖÊÁÏ¡¢¿ÆÑмì²â¡¢ÖÐÐÄÌå±ê¼Ç¡¢Ò©Î↑·¢¡¢ÎÛȾԴ¸ú×ٵȳ¡¾°Õ¹ÏÖ³öÓÅÒìÓ¦ÓÃÔ¶¾°¡£¡£¡£¡£¡£ÃÀ¸ß÷ÔöÇ¿ÁËë®´úÒ©ÎïÉè¼ÆÓëÑо¿ÄÜÁ¦£¬£¬£¬£¬½¨ÉèÁ˽ÏΪÆÕ±éµÄë®´úÆö¿é£¬£¬£¬£¬¾ß±¸¸»ºñµÄë®´ú¼¼ÄÜ¡£¡£¡£¡£¡£
ÓÉÓÚ̼뮼üÎȹÌÐÔÓÅÓÚ̼Çâ¼ü£¬£¬£¬£¬ÔÚÒ©Î↑·¢ÖУ¬£¬£¬£¬ë®´ú·´Ó¦¿ÉÓÃÓÚ¸ÄÉÆÒ©ÎïÒ©´ú¶¯Á¦Ñ§ÌØÕ÷¡£¡£¡£¡£¡£»£»£»£»£»ùÓÚÆäÆæÒìÐÔÄÜ£¬£¬£¬£¬ë®ÐÞÊÎÊÇË¢ÐÂÒ©ÎïÐÔ×ÓµÄÒªÁìÖ®Ò»£¬£¬£¬£¬Í¨¹ý¶ÔÒ©Îï·Ö×ӵĻîÐÔλµã¾ÙÐÐë®Ìæ»»£¬£¬£¬£¬¿ÉÏÔÖøÑÓÉìÒ©Îï´úлʱ¼ä¡¢½µµÍÒ©ÎïʹÓüÁÁ¿¡£¡£¡£¡£¡£
ë®´úÒ©ÎïÊǰÑÒ©Îï·Ö×ÓÉÏÌØ¶¨Î»µãµÄÇâÔ×ÓÓÃë®Ô×ÓÌæ»»Ëù»ñµÃµÄÒ©Î£¬£¬£¬ÆäÖÐÓ¦ÓÃ×îÆÕ±éµÄÊǽ«Ì¼-Çâ¼üÌæ»»³ÉΪ̼-뮼ü¡£¡£¡£¡£¡£Í¨¹ýÌæ»»£¬£¬£¬£¬¿ÉÒÔ¸ÄÉÆÒ©ÎïµÄÒ©´ú¶¯Á¦Ñ§»ò¶¾ÐÔ¡£¡£¡£¡£¡£ÔÚÒÑÍùµÄ20ÄêÀ£¬£¬£¬º£ÄÚÍâÐí¶à¹«Ë¾ÖÂÁ¦ÓÚë®´úÒ©ÎïµÄ¿ª·¢£º2017 Äê4Ô£¬£¬£¬£¬ÃÀ¹úʳÎïÒ©Æ·¼àÊÓ¹ÜÀí¾Ö£¨FDA£©Åú×¼ÁËÈ«ÇòÊ׸öë®´úÒ©Îïë®´ú¶¡±½ÄÇàºÆ¬£¨Deuterabenazine£©ÉÏÊУ¬£¬£¬£¬ÓÃÓÚÓÐÊýµÄ³£È¾É«ÌåÏÔÐÔÒÅ´«²¡ºàÍ¢¶ÙÎ赸²¡¡£¡£¡£¡£¡£
2022Ä꣬£¬£¬£¬FDAÅú×¼ÁËÁíÒ»¿îÈ«ÐÂë®´úÒ©ÎïDeucravacitinib£¬£¬£¬£¬¸ÃÒ©Îï±»ÆÕ±éÓ¦ÓÃÓÚÖÎÁƶàÖÖ×ÔÉíÃâÒßÐÔ¼²²¡£¬£¬£¬£¬°üÀ¨¾µä·¶¸ÉÔïÖ¢ºòȺ¡¢Àà·çʪÐÔÊàŦÑ׺ÍţƤѢµÈ¡£¡£¡£¡£¡£2021Ä꣬£¬£¬£¬ÖйúºÍÎÚ×ȱð¿Ë˹̹»®·ÖÅú×¼ÁËDonafenibºÍVV116µÄÉÏÊС£¡£¡£¡£¡£Æù½ñΪֹ£¬£¬£¬£¬ÖÁÉÙÓÐ15¸öºòѡҩÎïÕýÔÚ¾ÙÐÐÁÙ´²ÊÔÑ飬£¬£¬£¬ÆäÖÐ6¸ö´¦ÓÚIIIÆÚ¡£¡£¡£¡£¡£

ͼ1.ÒÑÅú×¼ÉÏÊеÄë®´úÒ©Îï
Ò©ÎïÑз¢ÕßʹÓÃë®´ú¸Ä¹¹ÒýÆðµÄÒ©Îï´úлËÙÂʸıä,Ö÷Òª´ÓÒÔÏ·½ÃæÓÅ»¯Ò©Î
¢Ùë®´ú¸Ä¹¹Í¨³£»£»£»£»£»á½µµÍɨ³ýÂÊ£¬£¬£¬£¬ÔöÌíÒ©Îï°ëË¥ÆÚ£¬£¬£¬£¬´Ó¶øÔöÌíÌåÑ»·Ì»Â¶Á¿£»£»£»£»£»
¢Ú¹ØÓÚ¾ßÓÐÏÔÖøÊ×¹ýЧӦµÄÒ©Î£¬£¬£¬ë®´ú¸Ä¹¹¿É½µµÍÆäÊ×¹ýЧӦ£¬£¬£¬£¬´Ó¶øÔöÌí¿Ú·þÉúÎïʹÓöȣ»£»£»£»£»
¢Ûë®´ú¸Ä¹¹¿ÉïÔÌÌØ¶¨´úл²úÆ·µÄÐγɣ¬£¬£¬£¬´Ó¶ø¸ÄÉÆ´úлÆ×£»£»£»£»£»
¢ÜÁ¢ÌåÒì¹¹ÌåÊÖÐÔÖÐÐĵÄë®´ú¸Ä¹¹¿ÉïÔÌÁ¢ÌåÒì¹¹Ìå¼äµÄÏ໥ת»¯£¬£¬£¬£¬´Ó¶øÎȹ̼òµ¥Á¢ÌåÒì¹¹Ìå¡£¡£¡£¡£¡£
ÔÚ´¦Öóͷ£ºÍÆÊÎöÉúÎïÑùƷʱ£¬£¬£¬£¬¾³£»£»£»£»£»á±¬·¢´ý²âÎïµÄËðʧºÍÐźŲ¨¶¯£¬£¬£¬£¬ÕâЩÇéÐοÉÄÜÔÚ±¬·¢ÔÚÑùÆ·µÄ×ªÒÆ£¬£¬£¬£¬Îü¸½£¬£¬£¬£¬Õô·¢ºÍ½øÑùµÈÀú³ÌÖУ¬£¬£¬£¬ÓÈÆäÊÇÔÚÖÊÆ×¼ì²âµÄÀú³ÌÖУ¬£¬£¬£¬ÓÉÓÚ»ùÖÊЧӦ»áÒýÆð´ý²âÎï¼ì²âÐźŵÄת±ä£¬£¬£¬£¬Í¨¹ýÏòͳһÆÊÎöÅúÖеÄËùÓÐÑùÆ·ÖмÓÈëµÈÁ¿µÄºÍÆÊÎöÎï¾ßÓÐÏàËÆÎïÀí»¯Ñ§ÐÔ×ÓµÄÄڱ꣬£¬£¬£¬²¢ÇÒÓÃÆÊÎöÎïºÍÄÚ±êµÄÏìÓ¦Öµ±È¾ÙÐж¨Á¿ÅÌË㣬£¬£¬£¬¾ø´ó¶à²¿·ÖÆÊÎöÎïµÄÐźŲ¨¶¯ºÍÁ¿ÉϵÄËðʧ¶¼¿ÉÒÔ»ñµÃУÕý£¬£¬£¬£¬Òò´ËʹÓúÏÊʵÄÄÚ±ê¿ÉÒÔ¼«´óµÄÌá¸ßÆÊÎöЧ¹ûµÄ׼ȷ¶ÈºÍϸÃܶÈÒÔ¼°ÒªÁìµÄ¿É¿¿ÐÔ¡£¡£¡£¡£¡£
ÄÚ±êÒ»Ñùƽ³£À´Ëµ·ÖΪÁ½ÖÖÀàÐÍ£¬£¬£¬£¬¼´½á¹¹ÀàËÆÎïÄÚ±êºÍÍ¬Î»ËØ±ê¼ÇÄڱꡣ¡£¡£¡£¡£ÔÚʵÑ鹨ÓÚÒªÁìµÄϸÃܶȣ¬£¬£¬£¬×¼È·¶ÈºÍÎȹÌÐÔÓÐÒªÇóµÄÌõ¼þÏ£¬£¬£¬£¬Ó¦¾¡¿ÉÄÜʹÓÃÍ¬Î»ËØ±ê¼ÇÄڱ꣬£¬£¬£¬²¢ÇÒÏà±ÈÀàËÆÎïÄڱ꣬£¬£¬£¬ËüÄÜÍØ¿íÒªÁìµÄÏßÐÔ¹æÄ£¡£¡£¡£¡£¡£
Í¬Î»ËØÊ¾×Ù¼¼Êõ»¹¾ßÓÐѸËٶȸߡ¢×¨ÊôÐÔÇ¿¡¢ÊÊÓÃÐԹ㡢¼ì²âÒªÁìÇáÓ¯µÈÓŵ㣬£¬£¬£¬Òò´ËÔÚÒ©ÎïADMEÑо¿ÖлñµÃÁËÆÕ±éµÄÓ¦Ó㬣¬£¬£¬ÇÒÃÀ¹úFDAÔçÒѽ«Í¬Î»Ëرê¼ÇÒ©Îï¸øÒ©ºóµÄÒ©¶¯Ñ§Êý¾Ý×÷ΪÐÂÒ©Çå¾²ÐÔÆÀ¼ÛµÄÖ÷ÒªÒÀ¾Ý£¬£¬£¬£¬²¢Öƶ©ÁËÏà¹ØÖ¸ÄÏ¡£¡£¡£¡£¡£
ËäÈ»·ÅÉäÐÔÍ¬Î»ËØ±ê¼Ç»¯ºÏÎïÔÚ¶¨Á¿ÆÊÎöѸËÙ¶È·½ÃæÒª¸ßÓÚÎȹÌÍ¬Î»ËØ±ê¼ÇÎ£¬£¬£¬µ«ÎȹÌÍ¬Î»ËØ±ê¼ÇÊÔ¼Á½Ï·ÅÉäÐÔÍ¬Î»ËØ±ê¼ÇÊÔ¼Á¶øÑÔ£¬£¬£¬£¬½ÏÖ÷ÒªµÄÓŵãÔÚÓÚÎÞ·ÅÉäÐÔ¡¢ÎÞÐèÖØ´óµÄ·Å»¯×°±¸¼°·À·øÉä·À»¤²½·¥£¬£¬£¬£¬ÇÒÎÞÇéÐÎÎÛȾ¡£¡£¡£¡£¡£
ÔÚÏÖʵӦÓÃÖУ¬£¬£¬£¬ë®´ú»¯ºÏÎï×÷ΪÎȹÌÍ¬Î»ËØÄڱ껯ºÏÎïÒѾÆÕ±éÓÃÓÚ½â¾öͨÀýÆÊÎöÒªÁìÎÞ·¨½â¾öµÄÆÊÎöÄÑÌ⣬£¬£¬£¬¸üÖ÷ÒªµÄÊÇ¿ÉÓÃ×÷ʾ×Ù¼Á£¬£¬£¬£¬´Ó¶øÀ´Ñо¿Ò©ÎïÔÚÌåÄÚµÄÂþÑÜ¡¢´úл¡¢ÁÆÐ§¡¢×÷ÓûúÖÆµÈ£¬£¬£¬£¬ÎªÒ©ÎïµÄÒ©´ú¶¯Á¦Ñ§Ñо¿ÌṩÖ÷ÒªµÄÒÀ¾Ý£¬£¬£¬£¬Í¬Ê±ÎªÁ¢ÒìÒ©ÎïµÄÑз¢ÌṩҪÁì¡£¡£¡£¡£¡£
Ïà±ÈÀàËÆÎïÄڱ꣬£¬£¬£¬ë®´ú»¯ºÏÎï×÷ΪÎȹÌÍ¬Î»ËØÄÚ±ê¾ßÓÐÖÚ¶àÓŵãºÍÓÅÒìµÄÐÔÄÜ£¬£¬£¬£¬µ«Ñ¡È¡ë®´úÄڱ껯ºÏÎïÐèÒªÒª×¢ÖØë®Ô×ÓÈ¡´úµÄλÖ㬣¬£¬£¬Ó¦ÖÐÑ¡ÔñÈ¡´úÎȹ̹ÙÄÜÍŽṹµÄλÖ㬣¬£¬£¬ÒÔÈ·±£ÑùÆ·ÔÚÖÆ±¸Àú³ÌÖв»±¬·¢ë®-Çâ½»Á÷¡£¡£¡£¡£¡£
ΪÁ˽µµÍÍ¬Î»ËØ×ÌÈŵÄÓ°Ï죬£¬£¬£¬Í¬Î»ËØÄÚ±ê×îºÃÖÁÉÙÒª±Èδ±ê¼ÇµÄÆÊÎöÎïºá¿ç4-5¸öÖÊÁ¿µ¥Î»¡£¡£¡£¡£¡£

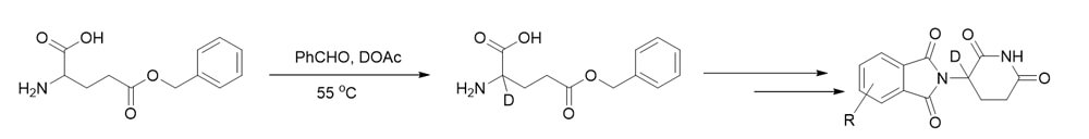
ͼ2.ë®´úÍ¬Î»ËØÄڱ껯ºÏÎïʵÀý
ÏÖÔÚë®´ú»¯ºÏÎï»ù±¾É϶¼ÊÇ̼뮼üÏàÁ¬µÄ»¯ºÏÎ£¬£¬£¬ËüµÄºÏ³ÉÔÔòÉÏ¿ÉÒÔ·ÖΪ뮴úÊÔ¼ÁÆ´½Ó·¨ºÍ̼뮼ü»¯Ñ§ºÏ³É·¨¡£¡£¡£¡£¡£
ë®´úÊÔ¼ÁÆ´½Ó·¨ÊÇÔËÓÃͨË׵Ļ¯Ñ§·´Ó¦ÔÀí£¬£¬£¬£¬½«º¬ÓÐë®ÔªËصÄÊÔ¼Áͨ¹ý»¯Ñ§ºÏ³ÉÀ´ÖƱ¸ËùÐèÒªµÄë®´ú»¯ºÏÎï¡£¡£¡£¡£¡£³£ÓõÄë®´úÊÔ¼ÁÓÐë®´úµâ¼×Í顢뮴ú¼×´¼¡¢ë®´ú¼×°·¡¢ë®´úÒÒ´¼¡¢ë®´úN,N-¶þ¼×»ù¼×õ£°·¡¢ë®´ú±ûͪ£¬£¬£¬£¬ë®´ú±½¡¢ë®´ú±½°·£¬£¬£¬£¬ë®´ú±½ÅðËᣬ£¬£¬£¬ë®´ú±±½µÈ¡£¡£¡£¡£¡£
¸ÃÒªÁì²»ÐèÒª¹¹½¨Ì¼ë®¼ü£¬£¬£¬£¬ºÏ³ÉÏ൱¼òÆÓ£»£»£»£»£»µ«ÓÉÓÚÉÌÆ·»¯µÄë®´úÊÔ¼ÁµÄÖÖÀàÓÐÏÞ£¬£¬£¬£¬ËùºÏ³ÉµÄë®´ú»¯ºÏÎïµÄ½á¹¹ÀàÐͼòµ¥£¬£¬£¬£¬²»¿ÉÖª×ãÈËÃǶÔÖØ´ó»¯ºÏÎï½á¹¹¾ÙÐÐë®´úµÄÐèÇ󡣡£¡£¡£¡£

ͼ3. ë®´úÊÔ¼ÁÆ´½Ó·¨ÊµÀý
̼뮼üµÄ»¯Ñ§ºÏ³ÉÖ÷Òª·ÖΪÁ½´óÀࣺÇâÍ¬Î»ËØ½»Á÷·´Ó¦£¨HIE£©ÒÔ¼°·ÇÇâÍ¬Î»ËØ½»Á÷·´Ó¦£¬£¬£¬£¬½øÒ»²½µÄÓÖ¿ÉÒÔϸ·ÖΪ£ºËá/¼î´ß»¯·´Ó¦¡¢½ðÊô´ß»¯·´Ó¦¡¢»¹ÔÐÔë®ÊÔ¼Á¶Ô²»±¥ºÍ¼üµÄ»¹Ô·´Ó¦¡¢È¥¹ÙÄÜ»¯ë®´ú·´Ó¦µÈ¡£¡£¡£¡£¡£
ôÊ»ùÁÚλ̼Çâ¼üµÄËáÐÔ½ÏÁ¿Ç¿£¬£¬£¬£¬ÔÚ¼îµÄ×÷ÓÃÏ¿ÉÓëë®´úË®±¬·¢Çâ뮽»Á÷·´Ó¦¡£¡£¡£¡£¡£

ͼ4. ë®´úɳÀû¶È°·£¨Thalidomide£©ÀàËÆÎïµÄºÏ³É
Ëæ×Źý¶É½ðÊô´ß»¯²»Éú¶¯Ì¼£®Çâ¼ü·´Ó¦µÄÒ»Ö±ÉîÈëÑо¿£¬£¬£¬£¬¹ØÓÚ²»Éú¶¯µÄ̼һÇâ¼ü»¯ºÏÎ£¬£¬£¬Ò²¿ÉÔÚ¹ý¶É½ðÊôµÄ´ß»¯Ï¾ÙÐÐÇâ뮽»Á÷·´Ó¦£¬£¬£¬£¬ÕâЩҪÁìÒ²Öð½¥Ó¦ÓÃÓÚë®±ê¼ÇÒ©Îï·Ö×ӵĺϳɡ£¡£¡£¡£¡£

ͼ5. ë®´úßÅßᣨIndole£©µÄºÏ³É
³ýͨÀýµÄîÙ¡¢Äø´ß»¯¼ÁÍ⣬£¬£¬£¬Ò¿/îÉ´ß»¯µÄÇâ뮽»Á÷·´Ó¦¡£¡£¡£¡£¡£

ͼ6. ë®´úÈüâÙण¨Cyproheptadine£©µÄºÏ³É
µ±Ò©ÎïµÄºÏ³Éõè¾¶Öк¬Óл¹Ô·´Ó¦£¬£¬£¬£¬¿ÉʹÓû¹ÔÐÔë®´úÊÔ¼Á£¬£¬£¬£¬Èçë®Æø¡¢ë®»¯ï®ÂÁ¡¢Åðë®»¯ÄƵȶԲ»±¥ºÍ¼ü¾ÙÐл¹Ô£¬£¬£¬£¬´Ó¶ø»ñµÃë®Ô×Ӽӳɵ½²»±¥ºÍ¼üÉϵIJúÆ·£¬£¬£¬£¬È»ºóͨʺóÐøµÄת»¯·´Ó¦ÌìÉúÄ¿µÄë®´úÒ©Îï¡£¡£¡£¡£¡£

ͼ7. ë®´úÒÒ´¼°·£¨Monoethanolamine£©µÄºÏ³É

ͼ8. ë®´úÀ³¿Ë¶à°Í°·(Ractopamine)µÄºÏ³É
¶Ôº¬ÓÐ̼±¼üµÄ»¯ºÏÎ£¬£¬£¬ÔÚîÙÌ¿´ß»¯Ï¿ÉÒÔ±¬·¢»¹ÔÍѱ·´Ó¦£¬£¬£¬£¬ÈôÊÇÓÃë®Æø×÷Ϊë®Ô´£¬£¬£¬£¬Ôò»ñµÃÂ±ËØ±»ë®È¡´úµÄ²úÆ·¡£¡£¡£¡£¡£

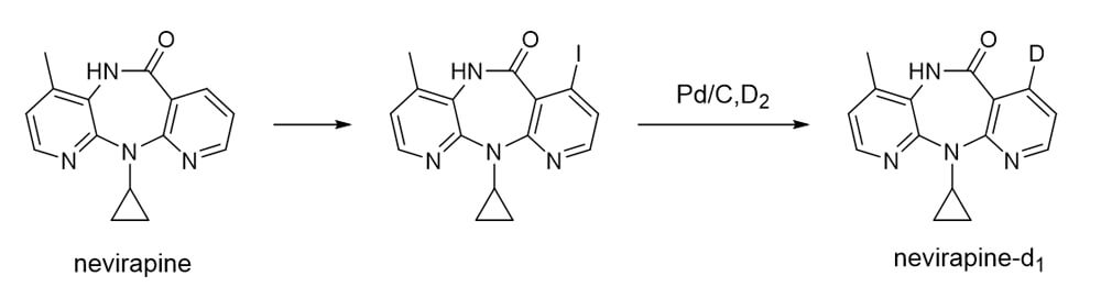
ͼ9. ë®´úÄÎΤÀƽ£¨Nevirapine£©µÄºÏ³É
¹ØÓÚº¬ÓÐÅðµÄ»¯ºÏÎ£¬£¬£¬ÆäÓëë®Àë×Ó¾ÙÐÐ뮽ⷴӦʱ£¬£¬£¬£¬ë®¿ÉÒÔÌæ»»ÅðµÄλÖ㬣¬£¬£¬´Ó¶øÌìÉúÏìӦλµãµÄë®´ú²úÆ·¡£¡£¡£¡£¡£Ê¹ÓÃÕâÒ»ÔÀí£¬£¬£¬£¬¿ÉÒÔÏȺϳÉÄ¿µÄë®´úÒ©ÎïÖÐÏëҪ뮴úλµãµÄÅ𻯲úÆ·£¬£¬£¬£¬È»ºó¾ÙÐÐ뮽ⷴӦ£¬£¬£¬£¬ÌìÉúÏìÓ¦µÄë®´úÒ©Îï¡£¡£¡£¡£¡£

ͼ10. ë®´úÂÈßÁ¸ñÀ×£¨Clopidogrel£©µÄºÏ³É
ë®´ú»¯ºÏÎïÔÚÉúÎïѧ¡¢Ò©Ñ§¡¢Ò½Ñ§µÈÁìÓòʩչ×ÅÖ÷Òª×÷Ó㬣¬£¬£¬¿ª·¢Ñ¡ÔñÐԺϳÉÌØ¶¨Î»µãµÄë®´ú±ê¼Ç»¯ºÏÎïµÄÒªÁ죬£¬£¬£¬¾ßÓÐÖ÷ÒªµÄѧÊõÒâÒåºÍÓ¦ÓÃÔ¶¾°¡£¡£¡£¡£¡£¹ØÓÚ»¯Ñ§ºÏ³É·¨À´Ëµ£¬£¬£¬£¬Éú³¤ÐÂÐ͵Ĵ߻¯ÏµÍ³¼°¿ª·¢ë®´úÊÔ¼Á²¢ÉÌÆ·»¯£¬£¬£¬£¬¿ÉÒÔÔ½·¢ÓÐÓõØËõ¶Ì·´Ó¦°ì·¨£¬£¬£¬£¬ÓÅ»¯·´Ó¦Â·¾¶£¬£¬£¬£¬´Ó¶ø¸ü¸ßЧµØºÏ³Éë®´úÄ¿µÄ»¯ºÏÎ£¬£¬£¬½«Íƶ¯ë®´úÒ©Î﹤ҵµÄ¿ìËÙÉú³¤¡£¡£¡£¡£¡£
Ïà¹ØÐÂÎÅ