ÓÉÓÚÎüÈëÖÆ¼ÁµÄ±ãЯÐԺͲ¡ÈË·þÒ©ÒÀ´ÓÐԽϺõÈÌØµã£¬£¬£¬£¬ÎüÈë¸øÒ©ÒѳÉΪ½ö´ÎÓÚ¿Ú·þ¸øÒ©µÄ×î³£ÓõĸøÒ©·½·¨£¬£¬£¬£¬ÎüÈë¸øÒ©Í¾¾¶Ô½À´Ô½¶àµÄÊܵ½¹Ø×¢ºÍÈϿɡ£¡£¡£¹ØÓڷβ¿²¡±ä»¼Õߣ¬£¬£¬£¬ÎüÈë¸øÒ©ÓëÆäËû¸øÒ©·½·¨Ïà±È£¬£¬£¬£¬¿ÉµÖ´ï½Ï¸ßµÄ¾Ö²¿Ò©ÎïŨ¶È£¬£¬£¬£¬ïÔÌÈ«Éí²»Á¼×÷Óᣡ£¡£×îÐÂÑо¿·¢Ã÷£¬£¬£¬£¬ÎüÈë¸øÒ©ÔÚ¸ÄÉÆÐ¹ڷÎÑ×»¼ÕßµÄÁÙ´²ÖÎÁÆ·½ÃæÊ©Õ¹ÁËÖ÷ÒªµÄ×÷Óᣡ£¡£

COVID-19µÄ±¬·¢¸øÈ«Çò¹«¹²ÎÀÉú´øÀ´ÁËÖØ´óÌôÕ½¡£¡£¡£×èÖ¹ÏÖÔÚÈÔȻûÓз¢Ã÷Õë¶Ô¸Ã²¡¶¾µÄÌØÒìÐÔÖÎÁƼÁ£¬£¬£¬£¬ÎÒÃÇÆÈÇÐÐèҪеÄÓÐÓøÉÔ¤²ßÂÔÀ´¶Ô¿¹ÕâÖÖ¼²²¡¡£¡£¡£¿ËÈÕ£¬£¬£¬£¬TheLancetÉϽÒÏþÁËһƪ¹ØÓÚÖÎÁÆCOVID-19µÄ×îÐÂÁÙ´²ÊÔÑéµÄÎÄÕ£¬£¬£¬£¬ÊÔÑéЧ¹ûÅú×¢ÆøÎí¼ÁÎüÈëIFN-¦Ê+TFF2µÄÖÎÁÆ·½·¨ÓÐÍû¸ÄÉÆÖжÈCOVID-19»¼ÕßµÄÁÙ´²ÖÎÁÆ¡£¡£¡£

01 Latest Finding
ÏÈǰµÄÁÙ´²ÊÔÑéÅú×¢£¬£¬£¬£¬IÐÍ×ÌÈÅËØ£¨ÈçIFN-¦Á£¬£¬£¬£¬IFN-¦Â£©¿ÉÒÔÓÐÓÃÒÖÖÆSARS-CoV-1µÄ¸´ÖÆ£¬£¬£¬£¬´Ó¶ø¼õÇáÁÙ´²²¢·¢Ö¢¡£¡£¡£È»¶øIFN-¦Á/¦Â¿ÉÓÕ·¢²¡ÔÐÔÑ×ÐÔµ¥ºËϸ°û´ó×ÚÓ¿ÈëºÍѪ¹ÜÉøÂ©ÒýÆðÒ»Á¬ÐÔÑ×Ö¢·´Ó¦£¬£¬£¬£¬Òò´ËIFN-¦Á/¦ÂµÄÈ«ÉíÐÔ²»Á¼·´Ó¦Ò²½«ÊÇÒ»¸öÎÊÌâ¡£¡£¡£
IFN-¦ÊÊÇÒ»ÖÖÏà¶ÔÎÂ˳µÄIÐÍ×ÌÈÅËØ£¬£¬£¬£¬¿Éͨ¹ý¼¤»î×ÌÈÅËØ´Ì¼¤Ó¦´ðÔª¼þµÄÐźŴ«µ¼Í¾¾¶À´ÓÐÓÃÒÖÖÆ°üĤ²¡¶¾µÄ¸´ÖÆ¡£¡£¡£ÈýÒ¶Òò×Ó2£¨TFF2£©ÊǾßÓÐÈý¸ö¶þÁò¼üµÄÉøÍ¸¶àëÄ£¬£¬£¬£¬Äܹ»Í¨¹ýÔö½øËðÉ˵ÄÐÞ¸´ºÍµ÷ÀíÃâÒß·´Ó¦À´±£»£»£»£»£»£»¤Î¸³¦µÀÃâÊÜ΢ÉúÎï»ò»¯Ñ§ÐÔËðÉ˵ÄÇÖÏ®¡£¡£¡£
»ùÓÚÕâЩ·¢Ã÷£¬£¬£¬£¬Ñо¿Ö°Ô±¼ÙÉèÈËÔ´ÐÔIFN-¦ÊºÍTFF2µÄÁªºÏ¸øÒ©¿ÉÄÜͨ¹ýïÔ̲¡¶¾¸´ÖÆ¡¢Ï÷ÈõÑ×Ö¢·´Ó¦ºÍ¸ÄÉÆºôÎüµÀÖØ¹¹À´Ðͬ¶Ô¿¹SARS-CoV-2ÓÕµ¼µÄºôÎüµÀ·ÎÑ×£¬£¬£¬£¬´Ó¶ø¸ÄÉÆCOVID-19»¼ÕßµÄÔ¤ºó¡£¡£¡£Òò´Ë£¬£¬£¬£¬ÎªÁËÆÀ¹ÀÆøÎíÎüÈëTFF2ºÍIFN-¦ÊÂѰ׶ÔSARS-CoV-2ѬȾµÄÁÆÐ§ºÍÇå¾²ÐÔ£¬£¬£¬£¬Ñо¿Ö°Ô±ÔÚÉϺ£Êй«¹²ÎÀÉúÁÙ´²ÖÐÐľÙÐжÔÖжÈCOVID-19¼²²¡×¡ÔºµÄ³ÉÄ껼Õß¾ÙÐÐÁËÒ»Ï·Å±êÇ©£¬£¬£¬£¬·ÇËæ»úµÄÁÙ´²ÊÔÑé¡£¡£¡£
02 Test Method
´Ó2020Äê2ÔÂ1ÈÕÖÁ2020Äê4ÔÂ6ÈÕ£¬£¬£¬£¬¹²ÕÐļ33ÀýÖжȼ²²¡Ö¢×´µÄCOVID-19»¼Õߣ¬£¬£¬£¬½«11Àý»¼Õß·ÖÅɵ½ÊµÑé×飬£¬£¬£¬Ê£ÏµÄ22Àý½ö½ÓÊܱê×¼Ö§³ÖÖÎÁƲ¢±»·ÖÀàΪ±ÈÕÕ×é¡£¡£¡£Îí»¯Ò©ÎïÓÉ´¿»¯µÄ³ÉÊìTFF2ºÍIFN-¦ÊÂѰ×ÖÆ³É£¬£¬£¬£¬ÕâЩÂѰ×ÊÇÔÚÓÅÒìÉú²ú¹æ·¶£¨GMP£©Ìõ¼þÏÂÉú²úµÄ£¬£¬£¬£¬´¿¶ÈÁè¼Ý99£¥£¬£¬£¬£¬²¢ÇÒÔÚÌåÍâÑéÖ¤ÁËÕâÁ½ÖÖÂѰ׵ÄÉúÎïѧ»îÐÔ¡£¡£¡£½«Á½ÖÖÂѰ×ÖʾùÏûÈÚÔÚ5mLÎÞ¾úË®ÖУ¬£¬£¬£¬²¢Í¨¹ýÒ½ÓÃѹËõ¿ÕÆøÎí»¯Æ÷£¨YUWELL£¬£¬£¬£¬403M£©Çý¶¯µÄ±ÇÕÖ½«ÆøÎí¼ÁµÝËÍ20~30·ÖÖÓ¡£¡£¡£ÆøÎíÎüÈëÖÎÁÆ´ÓסԺµÚÒ»Ìì×îÏÈ£¬£¬£¬£¬Ã¿48Сʱ½ÓÊÜ3´ÎÆøÎíÖÎÁÆ¡£¡£¡£

03 Test Data

±ÈÕÕ×éºÍIFN-¦Ê+TFF2×éÖ®¼äµÄCOVID-19»¼ÕßµÄÉú»¯Ö¸±ê£¨Í¼Æ¬ÈªÔ´£ºThe Lancet£©
ƾ֤ÒÔÉÏÊý¾Ý¿ÉÒÔ¿´³ö£¬£¬£¬£¬IFN-¦Ê+TFF2ÖÎÁƶԸΡ¢µ¨ÄÒºÍѪС°åûÓÐÏÔ×ŵĸºÃæÓ°Ïì¡£¡£¡£

±ÈÕÕ×éºÍIFN-¦Ê+TFF2×éÖ®¼äµÄCOVID-19»¼ÕßµÄѪҺָ±ê£¨Í¼Æ¬ÈªÔ´£ºThe Lancet£©
IFN-¦Ê+TFF2×éµÚ4Ìì×ܰ×ϸ°û£¨WBC£©µÄ¾ø¶Ô¼ÆÊýÏÔÖø¸ßÓÚ±ÈÕÕ×é¡£¡£¡£ÖÎÁÆÍê³Éºó£¨´ÓµÚ6Ììµ½µÚ10Ì죩£¬£¬£¬£¬°×ϸ°ûˮƽ»Ö¸´µ½Õý¹ßÀýÄ£Öµ¡£¡£¡£ÕâÅú×¢IFN-¦Ê+TFF2µÄ¸øÒ©¿ÉÄÜ»á¼õÇá·Î²¿Ñ×Ö¢£¬£¬£¬£¬´Ó¶øÖÐÖ¹°×ϸ°ûǨáã²¢µ¼ÖÂÔÚѪҺÖлýÀÛ¡£¡£¡£±ðµÄ£¬£¬£¬£¬IFN-¦Ê+TFF2×éµÄѪҺÖÐCRPˮƽ±È±ÈÕÕ×éµÍµÃ¶à£¬£¬£¬£¬½øÒ»²½ÅúעʵÑé×鱬·¢µÄÑ×Ö¢ºÍÓ¦¼¤·´Ó¦½ÏÉÙ¡£¡£¡£±ðµÄ£¬£¬£¬£¬Á½×éÖ®¼äÁܰÍϸ°ûÊýÄ¿ºÍѪºìÂѰ×Ũ¶È¾ùÎÞÏÔÖø²î±ð£¬£¬£¬£¬ÕâÅú×¢IFN-¦Ê+TFF2¶ÔÁܰÍϸ°û´æ»îÂʺͺìϸ°û¹¦Ð§Ã»ÓÐÓ°Ïì¡£¡£¡£

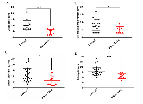
±ÈÕÕ×éºÍIFN-¦Ê+TFF2×éÖ®¼äµÄCOVID-19»¼Õß²¡¶¾ºËËáÒõÐÔת»¯µÄʱ¼äºÍÁÙ´²¸ÄÉÆµÄʱ¼ä£¨Í¼Æ¬ÈªÔ´£ºThe Lancet£©
ÒÔÉÏÊǶÔÖ¹¿È¡¢CT³ÉÏñ¸ÄÉÆ¡¢²¡¶¾ÒõÐÔʱ¼äºÍסԺÌìÊý¼¸¸öÁÙ´²Êý¾Ý¾ÙÐÐÆÊÎö¡£¡£¡£¿£¿£¿£¿ÉÒÔ¿´³öIFN-¦Ê+TFF2×éÏà±ÈÓÚ±ÈÕÕ×é¿ÈËÔ»º½â£¬£¬£¬£¬CT³ÉÏñ¸ÄÉÆÊ±¼ä½ÏÔ磬£¬£¬£¬×¡ÔºÊ±¼äËõ¶Ì¡£¡£¡£
04 Test Results
ÕâÏ·Å±êÇ©µÄ·ÇËæ»úÁÙ´²ÊÔÑé·¢Ã÷£¬£¬£¬£¬Îí»¯ÎüÈëIFN-¦Ê+TFF2¶ÔÖжÈCOVID-19»¼ÕßÊÇÒ»ÖÖÇå¾²µÄÖÎÁÆÒªÁì¡£¡£¡£IFN-¦ÊºÍTFF2¾ùΪСÂѰף¬£¬£¬£¬¿É±»ÓÕµ¼¶ÔºôÎüµÀ²¡¶¾Ñ¬È¾×÷³ö·´Ó¦¡£¡£¡£´Ó¸÷ÏîÊÔÑéÊý¾ÝÅú×¢£¬£¬£¬£¬IFN-¦Ê+TFF2×éÖеϼÕ߸÷·½ÃæµÄÌåÏÖ¸üÎȹ̣¬£¬£¬£¬¼õÇáÑ×Ö¢·´Ó¦¡£¡£¡£ÆøÎí¼ÁÎüÈë¹ØÓÚ»¼Õß¶øÑÔÊÇÒ»ÖÖ·ÇÇÖÈëÐÔÇÒÒ×ÓÚʹÓõÄÒªÁ죬£¬£¬£¬Ëü»¹ÊÊÓÃÓÚͨ¹ýÑõÆø¹ÜÏò¾ßÓкôÎü»úµÄCOVID-19»¼Õß¾ÙÐÐÔËËÍ¡£¡£¡£ÃÀ¸ß÷ÁÙ´²ÊÓ²ìÅú×¢£¬£¬£¬£¬ÔÚÎí»¯ÎüÈëÀú³ÌÖÐûÓв»ÊʸС£¡£¡£
´Ë´ÎÕÐļµÄÊÜÊÔÕß¾ùΪÖжÈCOVID-19²¡Àý£¬£¬£¬£¬Éв»ÇåÎúÕâÖÖÖÎÁÆÊÇ·ñÊÊÓÃÓÚÖØÖ¢²¡Àý¡£¡£¡£¿ÉÊÇÆðÔ´Ñо¿Åú×¢£¬£¬£¬£¬IFN-¦Ê+TFF2¿ÉÄÜÊÇÒ»ÖÖÇå¾²µÄÖÎÁÆÒªÁ죬£¬£¬£¬²¢ÇÒ¶ÔCOVID-19»¼ÕßÓÐÒæ¡£¡£¡£ÎªÁ˽øÒ»²½È·¶¨Æä¶ÔCOVID-19µÄÁÆÐ§£¬£¬£¬£¬»¹ÐèÒª½øÒ»²½À©´óÑо¿¹æÄ£¡£¡£¡£ÆøÎíÎüÈëIFN-¦Ê+TFF2µÄÖÎÁÆÒªÁìºÜÓпÉÄÜ»á¸ÄÉÆÁÙ´²ÖÎÁÆ£¬£¬£¬£¬´Ó¶øÊµÏÖ»¼ÕßסԺʱ¼äµÄËõ¶Ì¡£¡£¡£
ÎüÈëÖÆ¼ÁÔÚ¼¼Êõ¿ª·¢ºÍÉóÆÀÉóÅú·½ÃæÒ²¾ßÓÐÌØÊâÐÔ£¬£¬£¬£¬ÐèÒª×ÛºÏ˼Á¿²úÆ·µÄ´¦·½¹¤ÒÕ¡¢ÖÊÁ¿¿ØÖÆ¡¢¸øÒ©×°Öᢹ¤Òµ»¯Éú²ú¼°ÁÙ´²Ó¦Óõȶà¸öά¶È¡£¡£¡£ÃÀ¸ß÷ÊìϤÖÖÖÖ
ÎüÈëÖÆ¼Á¿ª·¢Àú³Ì£¬£¬£¬£¬ÓÈÆäÊÇÔÚÎüÈë·ÛÎí¼Á£¨DPI£©¡¢Îí»¯ÎüÈë¼ÁºÍ±ÇÅçÎí¼Á£¨Nasal Spray£©ÖƼÁÁìÓò¾ß±¸ºÜÊǸ»ºñµÄÑз¢ÂÄÀú£¬£¬£¬£¬Å䱸רҵµÄÒÇÆ÷×°±¸£¬£¬£¬£¬ÀýÈçCOPLEY¹«Ë¾µÄÐÂÒ»´úÒ©ÓÃײ»÷Æ÷£¨NGI£©¡¢COPLEY ¹«Ë¾µÄBRS2100ÐͺôÎüÄ£ÄâÆ÷¡¢µÂ¹úÐÂÅÁÌ©¿Ë¼¤¹âÁ£¶ÈÒǵȣ¬£¬£¬£¬¿ÉÖª×ãÖÖÖÖÎüÈëÖÆ¼ÁµÄÖÊÁ¿Ñо¿ºÍÌåÍâÆÀ¹À¡£¡£¡£
ÃÀ¸ß÷ӵÓÐÍêÕûµÄ
ÎüÈë¸øÒ©ÁÙ´²Ç°Ñо¿Æ½Ì¨£¬£¬£¬£¬°üÀ¨ÎüÈëÒ©ÎïµÄÒ©´úÊÔÑéºÍҩЧÊÔÑ飻£»£»£»£»£»Í¬Ê±¿ÉÒÔÍê³ÉÕûÌ×Ò©ÎïµÄÇå¾²ÐÔÆÀ¼Û£¬£¬£¬£¬Èç×éÖ¯ÂþÑÜÊÔÑé¡¢¼±ÐÔ¶¾ÐÔÊÔÑé¡¢ÖØ¸´¸øÒ©¶¾ÐÔÊÔÑé¡¢´Ì¼¤ÐÔÊÔÑé¡¢¹ýÃôÐÔÊÔÑéºÍÇå¾²Ò©ÀíʵÑéµÈ¡£¡£¡£ÃÀ¸ß÷»áÒ»Á¬¹Ø×¢¸ÃÏîÑо¿µÄÏ£Íû£¬£¬£¬£¬Õâ×¢¶¨ÊÇÒ»³¡ÐèҪȫÈËÀàÓëÖ®¶·ÕùµÄ¡°³¤ÆÚÕ½¡±£¬£¬£¬£¬µ«ÎÒÃÇÏàÐÅ×ÜÓÐÒ»Ìì»áսʤÒßÇ飬£¬£¬£¬ÈËÊÀ½Ô°²¡£¡£¡£
¸ü¶à¹ØÓÚ¡°COVID-19Ò©ÎïÑз¢¡±µÄÎÄÕÂ
¹ØÓÚÃÀ¸ß÷
ÃÀ¸ß÷£¨¹ÉƱ´úÂ룺688202£©½¨ÉèÓÚ2004Ä꣬£¬£¬£¬×ܲ¿Î»ÓÚÉϺ££¬£¬£¬£¬ÖÂÁ¦ÓÚΪȫÇòÖÆÒ©ÆóÒµ¡¢Ñо¿»ú¹¹¼°¿ÆÑÐÊÂÇéÕßÌṩȫ·½Î»µÄÁÙ´²Ç°ÐÂÒ©Ñо¿Ð§ÀÍ¡£¡£¡£ÃÀ¸ß÷µÄһվʽ×ÛºÏЧÀÍÒÔÇ¿ÓÐÁ¦µÄÏîÄ¿¹ÜÀíºÍ¸ü¸ßЧ¡¢¸ßÐԼ۱ȵÄÑз¢Ð§ÀÍÖúÁ¦¿Í»§¼ÓËÙÐÂÒ©Ñз¢Àú³Ì£¬£¬£¬£¬Ð§Àͺ¸ÇÒ½Ò©ÁÙ´²Ç°ÐÂÒ©Ñо¿µÄÈ«Àú³Ì£¬£¬£¬£¬°üÀ¨Ò©Îï·¢Ã÷¡¢Ò©Ñ§Ñо¿¼°ÁÙ´²Ç°Ñо¿¡£¡£¡£ÃÀ¸ß÷Ó뺣ÄÚÍâÓÅÖʿͻ§ÅäºÏÉú³¤£¬£¬£¬£¬ÎªÈ«Çò½ü600¼Ò¿Í»§ÌṩÐÂÒ©Ñз¢Ð§ÀÍ£¬£¬£¬£¬ÃÀ¸ß÷½«¼ÌÐø×¤×ãÈ«ÇòÊÓÒ°£¬£¬£¬£¬¾ÛÁ¦ÖйúÁ¢Ò죬£¬£¬£¬ÎªÈËÀ࿵½¡Ð¢Ë³ÊµÁ¦£¡
ÁªÏµÃÀ¸ß÷
Email: marketing@medicilon.com.cn
µç»°: +86 (21) 5859-1500£¨×Ü»ú£©