Example ImageÃÀ¸ß÷

EN
EN
  • ÓªÒµ×Éѯ

    Öйú£º

    Email: marketing@medicilon.com.cn

    ÓªÒµ×ÉѯרÏߣº400-780-8018

    £¨½öÏÞЧÀÍ×Éѯ£¬£¬£¬ÆäËûÊÂÒËÇ벦´ò´¨É³×ܲ¿µç»°£©

    ´¨É³×ܲ¿µç»°: +86 (21) 5859-1500

    ÍâÑó£º

    +1(781)535-1428(U.S.)

    0044 7790 816 954 (Europe)

    Email:marketing@medicilon.com

ÔÚÏßÁôÑÔ¡Á
µã»÷Çл»
News information
ÐÂÎÅ×ÊѶ

hERG¼ì²â-Ò©ÎïÁÙ´²Ç°ÐÄÔà°²ÆÀ

2017-07-18
|
»á¼ûÁ¿£º

ÐÄÔàÇå¾²ÐÔÆÀ¼ÛÊÇÖÖÖÖÐÂÒ©½øÈëÁÙ´²ÊÔÑéǰ±ØÐ迼²ìµÄÒ»¸öÖ÷ÒªµÄÒòËØ£¬£¬£¬Ò²ÊÇÁ¢ÒìÒ©ÔçÆÚÁÙ´²Ñо¿ÖÐ×îÖ÷Òª£¬£¬£¬ÄѶȽϸߵĻ·½ÚÖ®Ò»¡£¡£¡£½ü¼¸Ä꣬£¬£¬Ò»Ð©ÒÑͶÈëÁÙ´²Ó¦ÓõÄÒ©ÎïÓÉÓÚÆäDZÔÚµÄÐÄÔà¶¾ÐÔ¶øÊܵ½Ò©ÎïÇå¾²¹ÜÀí²¿·ÖºÍÒ©Î﹫˾µÄÆÕ±é¹Ø×¢¡£¡£¡£ÃÀ¸ß÷×÷ΪһվʽҽҩÑз¢×ÛºÏÍâ°üЧÀÍCRO¹«Ë¾£¬£¬£¬ÓµÓÐÂÄÀú¸»ºñµÄר¼ÒÍŶÓ£¬£¬£¬¿ÉÌṩ´Óϸ°ûµ½ÕûÌ嶯ÎïµÄ¶àˮƽÁÙ´²Ç°ÐÄÔàÇå¾²ÐÔÆÀ¼ÛЧÀÍ¡£¡£¡£
¸ßЧչÍûÒ©ÎïÔÚÔçÆÚÐÄÔàÇå¾²Ò©Àíѧ·½ÃæµÄ³ÉÒ©¿É¿¿ÐÔ£¬£¬£¬¶Ô½µµÍÁÙ´²Ñо¿µÄDZÔÚ²»Á¼·´Ó¦ÓÈΪÖ÷Òª£¬£¬£¬ÏÖÔÚº£ÄÚÄÜÌṩÇкÏGLP±ê×¼£¬£¬£¬ÇÒ¿ÉÓÃÓÚINDÉ걨°üÀ¨ÐÄÔàÇå¾²ÐÔÆÀ¼ÛµÄһվʽҽҩÑз¢Ð§À͹«Ë¾ÎªÊýδ¼¸£¬£¬£¬ÃÀ¸ß÷×÷ΪÆäÖÐÒ»Ô±£¬£¬£¬Ð§ÀÍÏêÇéÈçÏ£º

ÌåÍâÇå¾²ÐÔÒ©ÀíѧÑо¿

ÆÊÎö»¯ºÏÎïµÄ·Ç×÷Óðе㲻Á¼·´Ó¦(ADR)¼°×÷Óðе㷴Ӧ²»¾ùÒ»ËùÒýÆðµÄ²»Á¼·´Ó¦£¬£¬£¬½«ÓÐÖúÓÚ»¯ºÏÎïͨʺóÐøµÄÌåÄÚʵÑé¶ø×èֹDZÔÚ²»Á¼·´Ó¦¡£¡£¡£

¡ô¶ÔÏȵ¼»¯ºÏÎï¾ÙÐÐ×÷ÓûúÀíÑо¿£»£»£»£»
¡ô¼ì²â»¯ºÏÎï¶ÔhERGÀë×ÓͨµÀµÄÓ°Ï죬£¬£¬ÌṩÆäÔÚÒ©ÎïɸѡºÍ¿ª·¢µÈ¸÷½×¶ÎÖжÔÐÄÔàÇå¾²ÐÔµÄ×ÛºÏÐÔÆÀ¼Û£»£»£»£»
¡ôϸ°ûˮƽµÄ¼ì²â¡£¡£¡£

ÌåÄÚÇå¾²ÐÔÒ©ÀíѧÑо¿

¡ôÎÞ´´Ò£²âϵͳÊÓ²ìÕûÌ嶯ÎïµÄÐĵçͼºÍѪÁ÷¶¯Á¦Ñ§×ª±ä£¬£¬£¬¿ÉÒ»Á¬¼à²âÒ©Îï¶ÔÐÄѪ¹ÜϵͳµÄÓ°Ïì¡£¡£¡£

ÃÀ¸ß÷ÁÙ´²Ç°ÐÄÔàÇå¾²ÐÔÆÀ¼ÛÓÅÊÆ

¡ô¸ßÐԼ۱ȣ¬£¬£¬Ñо¿ÖÜÆÚ¶Ì£¬£¬£¬ÏîÄ¿Æô¶¯¿ì£»£»£»£»
¡ôר¼ÒÍŶÓÓµÓкÜÊǸ»ºñµÄÏîÄ¿ÂÄÀú£¬£¬£¬¿ÉÌṩ½¨ÉèÐÔ½â¾ö¼Æ»®£»£»£»£»

¡ô×÷ΪһվʽҽҩÑз¢Íâ°üЧÀ͹«Ë¾£¬£¬£¬ÔçÆÚÌṩÐÄÔà¶¾ÐÔÆÀ¼ÛÐÅÏ¢£¬£¬£¬ÓÐÖúÓÚÃÀ¸ß÷ͨ¹ý»¯Ñ§£¬£¬£¬Ò©Ð§¡¢Ò©´úºÍÖÆ¼ÁµÈÒ»ÕûÌ×¼¼ÊõÊÖ¶Îɸѡ³öÐÄÔàÇ徲ϵÊý¸ü¸ßµÄºòÑ¡»¯ºÏÎï¡£¡£¡£

Ò©ÎïÇå¾²ÐÔÆÀ¼ÛÊÇÒ©ÎïÑз¢Àú³ÌÖм«ÆäÖ÷ÒªµÄÒ»¸ö°ì·¨£¬£¬£¬Ëæ×ÅһЩ·ÇÐÄѪ¹ÜÀàÒ©ÎïÏà¼Ì±»·¢Ã÷»áÓÕ·¢»ñµÃÐÔQT¼äÆÚÑÓÉì×ÛºÏÖ¢(LQTS)£¬£¬£¬µ¼ÖÂÑÏÖØµÄÐÄÂÉʧ³£¶øÍ˳öÊг¡ºó£¬£¬£¬Ò©Îï¶ÔÐÄÔàµÄÇå¾²ÐÔÊܵ½ÁËÔ½·¢ÆÕ±éµÄÖØÊÓ¡£¡£¡£ÐÄÔàµÄQT¼äÆÚÊÇÖ¸´ÓQRS²¨Èº×îÏȵ½T²¨¿¢ÊµÄÒ»¶Îʱ¼ä£¬£¬£¬°üÀ¨ÐÄÊÒÈ¥¼«»¯ºÍ¸´¼«»¯µÄÀú³Ì£¬£¬£¬QT¼äÆÚÑÓÉìÕýÊܵ½Ô½À´Ô½¶àµÄÖØÊÓ£¬£¬£¬²¢ÇÒ±»ÒÔΪÊÇÐÂÒ©Çå¾²ÐÔÆÀ¼ÛµÄÒªº¦Ö¸±êÖ®Ò»¡£¡£¡£ÔÚÐļ¡Ï¸°ûÖУ¬£¬£¬human Ether-a-go-go Related Gene (hERG)±àÂëµÄ¼ØÍ¨µÀ½éµ¼Ò»ÖÖÑÓ³ÙÕûÁ÷¼ØµçÁ÷(IKr)£¬£¬£¬IKrÒÖÖÆÊÇÒ©Îïµ¼ÖÂQT¼äÆÚÑÓÉì×îÖ÷ÒªµÄ»úÖÆ¡£¡£¡£hERGÒòÆäÌØÊâµÄ·Ö×ӽṹ£¬£¬£¬Ê¹Æä¿É±»½á¹¹¶àÑù»¯µÄ»¯ºÏÎïÒÖÖÆ¡£¡£¡£ÏÖÔÚ£¬£¬£¬¼ì²â»¯ºÏÎï¶ÔhERG¼ØÍ¨µÀµÄ×÷ÓÃÒÑÊÇÁÙ´²Ç°ÆÀ¼Û»¯ºÏÎïÐÄÔàÇå¾²ÐÔµÄÒªº¦°ì·¨£¬£¬£¬Ò²ÊÇFDAÒªÇóµÄÐÂÒ©±¨Åú±Ø±¸×ÊÁÏ¡£¡£¡£

hERG¼ò½é

hERG»ùÒò×î³õÊÇÓÉWarmkeµÈÔÚ1994Äê´ÓÈËÀຣÂícDNAÎÄ¿âÖÐÊèÉ¢ÅжϵóöµÄ£¬£¬£¬Óë¹ûÓ¬EAG»ùÒò¾ßÓÐͬԴÐÔ¡£¡£¡£hERG»ùÒòλÓÚÈË7ºÅȾɫÌåÉÏ(7q35¡«q36)£¬£¬£¬Ô¼55kb£¬£¬£¬ÓÐ16¸öÍâÏÔ×Ó£¬£¬£¬±àÂë1159¸ö°±»ùËá²Ð»ù¡£¡£¡£ÆäÔÚÈËÉíÌå×éÖ¯Ðļ¡¡¢ÄÔ¡¢Ôà¸Î¡¢Æ¢ÔàµÈÖоùÓбí´ï£¬£¬£¬ÔÚÐļ¡×éÖ¯Öбí´ï×î¸ß¡£¡£¡£×î½üµÄÑо¿ÏÔʾ£¬£¬£¬ÔÚÐí¶àÖ×Áöϸ°ûϵÖÐhERG»ùÒò¾ùÓбí´ï¡£¡£¡£hERG»ùÒò±àÂëIkrµÄ¦ÁÑÇ»ùÓëminK±àÂëµÄ¦ÂÑÇ»ùminKÏà¹ØÂѰ×ÅäºÏ×é³ÉIkr£¬£¬£¬hERG¼ØÀë×ÓͨµÀÓÉ4¸öÏàͬµÄ¦ÁÑÇ»ù×é³ÉËľÛÌ壬£¬£¬ÖÐÐÄÐÍÐγÉÀë×ÓͨµÀ¡£¡£¡£ÓÉÓÚhERG»ùÒò±àÂëµÄÂѰ׾ßÓеçѹÃÅ¿ØÐÍͨµÀÂѰ׵Ľṹ£¬£¬£¬ÆäÖаüÀ¨6¸ö¿çĤ¦ÁÂÝÐýƬ¶Ï(S1¡«S6)¡¢S5ºÍS6Ö®¼äµÄP»·¡¢ôÈ»ù¶Ë(C¶Ë)ºÍ°±»ù¶Ë(N¶Ë)(Èçͼ2)¡£¡£¡£1995Ä꣬£¬£¬SanguinettiµÈÊ×´Îͨ¹ýÔÚϸ°ûÉÏתȾhERG»ùÒò±í´ïhERGÂѰ׵ÄͨµÀ£¬£¬£¬ÆäÉúÎïÌØÕ÷ÌåÏÖÓë±àÂëIkrÏÕЩһÑù¡£¡£¡£hERG»ùÒòÔÚÐÄÀíÀú³ÌÖÐʩչ×ÅÖØ×ÅÊöÓ㬣¬£¬Ëü±í´ïµÄ¼ØÀë×ÓͨµÀ¾ßÓÐÄÚÏòÕûÁ÷ÐÔ×Ó£¬£¬£¬ÄÚÏòIkrÔÚÐļ¡Ï¸°ûÐж¯µçλ¸÷ʱÏà¾ùÓпª·Å£¬£¬£¬ÔÚÐж¯µçλ3ÆÚ¸´¼«ºÍ¾²Ï¢µçλÆÚµçµ¼ÐÔ×î´ó¡£¡£¡£Æä³¬¼«»¯Ê±ÌåÏÖΪÏÔ×ŵÄÄÚÏòµçÁ÷£¬£¬£¬Çá¶È³ý¼«Ê±ÌåÏÖÍâÏòµçÁ÷£¬£¬£¬½è´Ëά³Ö¾²Ï¢µçλµÄÎȹ̡£¡£¡£hERG¼ØÀë×ÓͨµÀÔÚÐж¯µçλ³ý¼«µ½-30mV×óÓÒʱ¿ìËÙ¼¤»î£¬£¬£¬²¢Ò»Á¬µ½3ÏàÐж¯µçλĩÆÚ¡£¡£¡£Òò´Ë£¬£¬£¬hHERG¼ØÀë×ÓͨµÀÄܹ»µ÷ÀíÒòÀ´×ÔÐļ¡ñ¼·¿½á»òÒìÔ´ÐË·ÜÐÔ¼¤¶¯ÌáǰµÖ´ï£¬£¬£¬ÓÐÓÃÒÖÖÆÆÚǰËõ¶ÌÈö²¥¡£¡£¡£

hERG¼ì²âÒªÁì

ÎÒÃǿɽÓÄÉÈýÖÖ¼¼ÊõÒªÁì²âÊÔ»¯ºÏÎï¶ÔhERG¼ØÍ¨µÀµÄ×÷Ó㬣¬£¬»®·ÖÊÇÈ«×Ô¶¯Ä¤Æ¬Ç¯¼¼Êõ£¨Automated Patch-Clamp)£¬£¬£¬¹Å°åĤƬǯ¼¼Êõ(Conventional Patch-Clamp) ºÍFluxORTM Thallium Assay¡£¡£¡£

A,B,C hERG¼ØÍ¨µÀ½éµ¼µÄIKrÒÖÖÆµ¼ÖµÄÐļ¡Ï¸°ûÐж¯µçλʱ³ÌºÍQT¼äÆÚµÄÑÓÉì

È«×Ô¶¯Ä¤Æ¬Ç¯¼¼Êõ(hERG Qpatch assay)

¹Å°åĤƬǯ¼¼Êõͨ¹ýÌØÖÆµÄ²£Á§¹ÜÎü¸½ÓÚϸ°ûÍâò£¬£¬£¬Ðγɸß×迹ǧÕ×Å··â½Ó£¬£¬£¬¿É׼ȷ¼Í¼Àë×ÓͨµÀ½éµ¼µÄµçÁ÷µÄת±ä£¬£¬£¬±»ÒÔΪÊÇÑо¿Àë×ÓͨµÀµÄ¡°½ð±ê×¼¡±£¬£¬£¬µ«Æä¶Ô²Ù×÷Ö°Ô±µÄ¼¼ÊõÒªÇó½Ï¸ß£¬£¬£¬Í¨Á¿µÍ£¬£¬£¬ÎÞ·¨Öª×ãÏÖÔÚÒ©ÎïÑз¢¶ÔhERG¶¾ÐÔÆÀ¼ÛµÄ´ó×ÚÐèÇ󡣡£¡£ÊÂÇéÕ¾Òý½øµÄµ¤ÂóSophion¹«Ë¾Éú²úµÄQpatch16X£¬£¬£¬Ê¹ÓÃÓë¹Å°åĤƬǯÀàËÆµÄ²£Á§ÖÆÐ¾Æ¬£¬£¬£¬¿ÉÐγÉǧÕ×Å··â½Ó£¬£¬£¬ÔÚ׼ȷÕÉÁ¿µÄÌõ¼þÏÂʵÏÖÁ˸ßͨÁ¿¼ì²â£¬£¬£¬Ã¿´Î¿Éͬ²½¼ì²â16¸öϸ°û¡£¡£¡£

ÃÀ¸ß÷¡¤MGM(ÖйúÓÎ)¹ÙÍøÕýÍø

¹Å°åĤƬǯ¼¼Êõ(hERG manual patch-clamp asssay)

ĤƬǯ¼¼Êõ(ConventionalPatch-Clamp)ÊÇÑо¿Àë×ÓͨµÀ×îÖ÷ÒªµÄ¼¼ÊõÊֶΣ¬£¬£¬±»¹«ÒÔΪÊÇÀë×ÓͨµÀÑо¿µÄ¡°»Æ½ð±ê×¼¡±£¬£¬£¬ÊÇ×î׼ȷµÄÕÉÁ¿Àë×ÓͨµÀµÄʵÑéÒªÁ죬£¬£¬ÊÊÓÃÓÚÑо¿»¯ºÏÎïÓëÀë×ÓͨµÀ×÷ÓõÄ×÷ÓûúÖÆ£¬£¬£¬Òà¿ÉÓÃÓÚÐÂÒ©É걨Àú³ÌÖкòѡҩÎïµÄ¶¾ÐÔÆÀ¼ÛºÍÏȵ¼»¯ºÏÎïµÄ½á¹¹ÓÅ»¯¡£¡£¡£

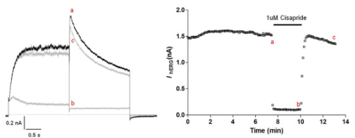
CisaprideÒÖÖÆhERG¼ØµçÁ÷µÄµçÁ÷ͼºÍhERG·åµçÁ÷Óëʱ¼ä¹ØÏµÍ¼

    CisaprideÒÖÖÆhERG¼ØµçÁ÷µÄµçÁ÷ͼºÍhERG·åµçÁ÷Óëʱ¼ä¹ØÏµÍ¼

CisaprideÒÖÖÆhERG¼ØµçÁ÷µÄ¼ÁÁ¿·´Ó¦ÇúÏß¡£¡£¡£

CisaprideÒÖÖÆhERG¼ØµçÁ÷µÄ¼ÁÁ¿·´Ó¦ÇúÏß¡£¡£¡£

FluxORTM Thallium Assay Thallium assay 

ʹÓÃFluxORTMÓ«¹âȾÁÏ·¢¹âµÄÒªÁì²âÊÔ»¯ºÏÎï¶ÔhERG¼ØÍ¨µÀµÄÓ°Ïì¡£¡£¡£¶ÔîèÃô¸ÐµÄÓ«¹âȾÁϱ»¼ÓÔØµ½Ï¸°ûĤÄÚ£¬£¬£¬Ï¸°ûÍâµÄîèÀë×Óͨ¹ý¿ª·ÅµÄhERG¼ØÀë×ÓͨµÀ˳Ũ¶ÈÌݶȽøÈëϸ°ûÄÚ£¬£¬£¬ÓëÓ«¹âȾÁÏÁ¬Ïµºó±¬·¢Ó«¹â(ͼ 3)¡£¡£¡£FluxORTM thallium assay ÔÚ¹ú¼ÊÉÏÒѾ­±»ÖÆÒ©¹«Ë¾¼°¿ÆÑлú¹¹ÆÕ±éÓÃÓÚ»¯ºÏÎïhERG»îÐÔ¼ì²â£¬£¬£¬ÒòÆä¿ÉÒÔÔÚ96¿×°å»ò384¿×°åÉϾÙÐвâÊÔ£¬£¬£¬µÖ´ï¸ßͨÁ¿µÄÒªÇ󣬣¬£¬ÊÊÓÃÓÚ»¯ºÏÎï³õɸ¼°Ïȵ¼»¯ºÏÎïÓÅ»¯¡£¡£¡£

ÃÀ¸ß÷¡¤MGM(ÖйúÓÎ)¹ÙÍøÕýÍø

ÒÔÉÏÄÚÈÝÊǹØÓÚhERG¡¢hERG¼ì²â£¬£¬£¬Ò©ÎïÁÙ´²Ç°ÐÄÔà°²ÆÀÏà¹ØÄÚÈÝ£¬£¬£¬ÈªÔ´ÓÚÃÀ¸ß÷¹ÙÍø¡£¡£¡£

ÁªÏµÃÀ¸ß÷£º
µç»°: +86 (21) 5859-1500£¨×Ü»ú£©
Ïà¹ØÐÂÎÅ
¡Á
ËÑË÷ÑéÖ¤
µã»÷Çл»
¡¾ÍøÕ¾µØÍ¼¡¿¡¾sitemap¡¿