ÃÀ¸ß÷
ÓªÒµ×Éѯ
Öйú£º
Email: marketing@medicilon.com.cn
ÓªÒµ×ÉѯרÏߣº400-780-8018
£¨½öÏÞЧÀÍ×Éѯ£¬£¬£¬ÆäËûÊÂÒËÇ벦´ò´¨É³×ܲ¿µç»°£©
´¨É³×ܲ¿µç»°: +86 (21) 5859-1500
ÍâÑó£º
+1(781)535-1428(U.S.)
0044 7790 816 954 (Europe)
Email:marketing@medicilon.com



Ò©ÎïÑз¢µÄÖ÷Ҫ˼Ð÷ÊÇͨ¹ýÒ©ÎïÀ´ÒÖÖÆ»òÒý·¢¼²²¡·¢²¡»úÖÆÖеÄijһ¸ö°Ðµã¡£¡£¡£¡£¡£¡£¿ÉÊÇ£¬£¬£¬½üÄêÀ´ÏµÍ³ÉúÎïѧΪһֱÉú³¤µÄÒ©ÎïÑз¢ÌṩÁËÒ»ÖÖеÄ˼Ð÷£º¶à°ÐµãÒ©ÎïÖÎÁÆ¡£¡£¡£¡£¡£¡£Í¬Ê±£¬£¬£¬¶Ô¼²²¡·¢²¡»úÖÆµÄ½øÒ»²½Ñо¿ºÍÊìϤҲÅú×¢Îú£¬£¬£¬µ¥¶À°ÐµãµÄÒÖÖÆ»òÒý·¢£¬£¬£¬ÔÚÖØ´ó¼²²¡ÖÎÁÆÖÐÓоÖÏÞÐÔ¡£¡£¡£¡£¡£¡£¶à°ÐµãÒ©ÎïÖÎÁÆ£¬£¬£¬¿ÉʹҩÎïͬʱ×÷ÓÃÓÚ¶à¸ö°Ðµã£¬£¬£¬¶Ô¸÷°ÐµãµÄ×÷ÓÿÉÒÔ±¬·¢ÐͬЧӦ£¬£¬£¬Ê¹×ÜЧӦ´óÓÚ¸÷µ¥Ð§Ó¦Ö®ºÍ£¬£¬£¬µÖ´ï×î¼ÑµÄÖÎÁÆÐ§¹û¡£¡£¡£¡£¡£¡£
¶à°ÐµãÒ©ÎïµÄ¹éÄÉ×ÛºÏ
¶à°ÐµãÒ©Îï°´×é·ÖµÄ²î±ð¿ÉÒÔ·ÖΪÈýÖÖÐÎʽ¡£¡£¡£¡£¡£¡£ÆäһΪ£º¶àÖÖÒ©ÎïÁªÊÊÓÃÒ©£¬£¬£¬ÈõµãÊÇËùº¬Ò©ÎïÏ໥¼äÈÝÒ×±¬·¢Ï໥×÷Óöø±¬·¢²»Á¼·´Ó¦¡£¡£¡£¡£¡£¡£Æä¶þΪ£º¶à×é·Öµ¥Ò©Æ¬£¬£¬£¬¼´ÔÚÒ»¸ö¸øÒ©µ¥Î»Öк¬ÓжàÖÖ»îÐÔ×é·Ö¡£¡£¡£¡£¡£¡£ÆäÈýΪ£ºÄ³Ò»µ¥×é·ÖÒ©Îï¿ÉÒÔͬʱѡÔñÐÔ×÷ÓÃÓÚ¶à¸ö·Ö×Ӱе㣬£¬£¬¼´ÑÏ¿áÒâÒåÉϵĶà°ÐµãÒ©Îï¡£¡£¡£¡£¡£¡£µ¥×é·ÖÒ©ÎïÔÚÒ©Îï´úлÉÏÊǽÏÁªÊÊÓÃÒ©ºÍ¶à×é·ÖµÄÒ©ÎïÓиü¶àÓÅÊÆµÄ£¬£¬£¬ÒòÆä¿ÉÒÔսʤ¸÷×é·ÖÏ໥×÷Óñ¬·¢µÄ²»Á¼·´Ó¦¡£¡£¡£¡£¡£¡£
ÓÉÓÚµ¥°ÐµãÒ©ÎïÖ»Äܵ÷¿Ø¼²²¡Àú³ÌÖеÄÒ»¸öµã£¬£¬£¬¶øÖÖÖÖÁÙ´²ÖØ´ó¼²²¡Í¨³£ÊǶàÖØÒòËØµ¼ÖµÄЧ¹û£¬£¬£¬ÇÒÆä²¡Àí»úÖÆ¼°¼²²¡ÖÎÁÆÀú³ÌºÜÊÇÖØ´ó¡£¡£¡£¡£¡£¡£Òò´Ë£¬£¬£¬µ¥°ÐµãÒ©ÎïÍùÍù»áÓÐÖÎÁÆÐ§¹û²»¼Ñ¡¢Ò©ÎïɸѡЧÂʲ»¸ßµÈÈõµã¡£¡£¡£¡£¡£¡£¶ø¶à°ÐµãÒ©Îï¿ÉÒÔͬʱ×÷ÓÃÓÚ¶à¸ö²¡Àí»·½Ú¡¢¶àÖÖ·¢²¡»úÖÆ¶ø±¬·¢Ðͬ×÷ÓÃЧ¹û£¬£¬£¬´Ó¶øÌá¸ßÒ©ÎïµÄÁÆÐ§¡£¡£¡£¡£¡£¡£
Ò©Îï°Ð±êͨ³£´¦ÓÚ¶à¸öÐźÅͨ·ÖУ¬£¬£¬¾ßÓжàÖØÉúÎïѧ¹¦Ð§£¬£¬£¬Ì«¹ý¼¤»î»òÒÖÖÆÄ³Ò»ÉúÎï°Ð±ê£¬£¬£¬ÔÚ¸ÉÔ¤Ò»ÖÖÉúÎïѧ¹¦Ð§µÄͬʱ£¬£¬£¬Ò²¿ÉÒÔÓ°ÏìÆäËüÕý³£ÉúÎïѧ¹¦Ð§£¬£¬£¬´Ó¶øµ¼Ö¶¾¸±×÷Óõı¬·¢¡£¡£¡£¡£¡£¡£¶à°ÐµãÒ©Îï¿ÉÒÔ¸üºÃµÄƽºâ¶à¸ö²¡ÀíÒòËØ¼äµÄ¹ØÏµ£¬£¬£¬¿ÉÒÔÔÚÏà¶Ô¸üµÍµÄѪҩŨ¶Èˮƽ£¬£¬£¬±¬·¢µ¥°ÐµãÒ©ÎïÐèÒª¸ßŨ¶È²Å»ª±¬·¢µÄÉúÎïѧЧӦ£¬£¬£¬ÇÒ¶ÔÉúÎï°Ð±êÒ»Ñùƽ³£¾ßÓÐÈõÇ׺ÍÁ¦µÄÌØµã£¬£¬£¬Òò¶ø¿ÉÒÔïÔÌÒ©ÎïµÄ²»Á¼·´Ó¦¡£¡£¡£¡£¡£¡£
ÉúÎï»úÌåÊÇÒ»¸öÖØ´óµÄ¿É×ÔÎÒµ÷ÀíÇå¾²ºâµÄϵͳ£¬£¬£¬ºã¾ÃʹÓÃijһµ¥°ÐµãÒ©ÎïÖÎÁƼ²²¡£¬£¬£¬¿ÉÒÔÓÕµ¼»úÌåÄÚ²¿µÄ˳ӦÐÔת±ä´Ó¶ø¼¤»î¶Ô¿¹±£»£»£»£»£»£»¤»úÖÆ»òÕßÅÔ·´ú³¥»úÖÆµÈ£¬£¬£¬Ê¹¼²²¡¶Ô¸ÃÖÖÒ©Îï²»ÔÙÃô¸Ð£¬£¬£¬Ôì³ÉÒ©ÎïµÄÄÍÒ©ÐÔ¡£¡£¡£¡£¡£¡£¶ø¶à°ÐµãÒ©Îï¿ÉÒÔͨ¹ýͬʱ¸ÉÔ¤¼²²¡µÄÖ÷ÒªÖ²¡°Ð±ê¼°Æä´ú³¥ÐźÅͨ·»òÕ߯䱣»£»£»£»£»£»¤ÐÔÐźÅͨ·¶øïÔ̼²²¡¶ÔÒ©Îﱬ·¢µÄÄÍÒ©ÐÔ¡£¡£¡£¡£¡£¡£
¶à°ÐµãÒ©ÎïÐèҪе÷ƽºâ¶à·½ÃæµÄ²ÎÊýʹ֮´¦ÓÚÊʶÈÇø¼ä£¬£¬£¬ÈçҩЧѧ·½ÃæÐèҪ˼Á¿°Ð±ê×éºÏµÄºÏÀíÐÔ¡¢»îÐÔµÄÆ½ºâÐԺͰбêµÄÑ¡ÔñÐÔ£»£»£»£»£»£»Ò©¶¯Ñ§·½Ã棬£¬£¬ÒªË¼Á¿ADME¸÷·½ÃæÌØÕ÷µÄÊʵ±Óë·ñ£»£»£»£»£»£»ÔÚ»¯Ñ§·½Ã棬£¬£¬ÒªË¼Á¿ÆäÀí»¯ÐÔ×ӵĺÏÊÊÓë·ñµÈ£»£»£»£»£»£»°Ð±ê×éºÏ·½Ã棬£¬£¬ËüÒªÇóÑ¡Ôñ¼²²¡²¡Àí»úÖÆÖÐ×îÒªº¦µÄ¼¸¸ö°Ð±ê¾ÙÐÐ×éºÏ£¬£¬£¬²¢°ü¹Ü°Ð±ê×éºÏµÄºÏÀíÐÔ£»£»£»£»£»£»»îÐÔÆ½ºâ·½Ã棬£¬£¬¶à°ÐµãÒ©Îï¶Ô¸÷°ÐµãµÄ×÷ÓÃÇ¿¶È¿¿½ü¶ø²»Ò˲î±ðÌ«´ó£»£»£»£»£»£»°Ð±êÑ¡Ôñ·½Ã棬£¬£¬¶à°ÐµãÒ©ÎïֻѡÔñ×÷ÓÃÓÚËùÈ·¶¨µÄ°Ð±ê×éºÏ£¬£¬£¬¶ø²»Ó¦¶ÔÆäËû°Ð±êÓжàÓàµÄ»îÐÔ£¬£¬£¬ÒÔ¼õС²»ÐëÒªµÄ¸±×÷Óᣡ£¡£¡£¡£¡£
Ö»¹Ü±£´æÐí¶àÎÊÌâºÍÄÑÌ⣬£¬£¬Ëæ×ÅÏÖ´úϵͳÉúÎïѧ¡¢»¯Ñ§ÉúÎïѧÒÔ¼°ÅÌËã»ú¸¨ÖúÒ©ÎïÉè¼Æ¼¼ÊõµÈµÄÉú³¤£¬£¬£¬¶à°ÐµãÒ©ÎïµÄÑо¿Ò²ÔÚÒ»²½²½µÄÍØÕ¹¡£¡£¡£¡£¡£¡£
ÒÑÉÏÊжà°ÐµãÒ©ÎïµÄ¸Å¿ö
Ëæ×Ŷà°ÐµãÒ©Îï·¢Ã÷¼¼ÊõµÄÒ»Ö±³ÉÊ죬£¬£¬ÒѾÓÐÔ½À´Ô½¶àµÄ¶à°ÐµãÒ©Îï½øÈëÁÙ´²Ó¦Ó㬣¬£¬ÓÈÆäÊÇÔÚ°©Ö¢¡¢ÌÇÄò²¡¡¢²¡¶¾ºÍϸ¾úѬȾµÈÖØ´óÐÔ¼²²¡ÖС£¡£¡£¡£¡£¡£½üÄêÀ´£¬£¬£¬FDAÏȺóÅú×¼Á˶à¸ö¶à°ÐµãÀÒ°±ËἤøÒÖÖÆ¼ÁÉÏÊУ¬£¬£¬°üÀ¨2005Äê»ñÅúµÄË÷À·ÇÄá¡¢2006Äê»ñÅúµÄ´ïÉ³ÌæÄá¡¢2007Äê»ñÅúµÄÊæÄáÌæÄáºÍÀÅÁÌæÄá¡£¡£¡£¡£¡£¡£ÁíÍ⣬£¬£¬¶à°ÐµãÒ©Îﻹ°üÀ¨ÐÄѪ¹ÜÒ©Îï°ÂÂíÇúÀ¡¢Ìز¨¸ñÀס¢ÆÕÆëµØÂ壻£»£»£»£»£»ÖÐÊàÉñ¾ÏµÍ³Ò©ÎïÀ¶àÌæ¼ª¡¢°ÂµªÆ½¡¢¿¨°ÍÀÍ¡µÈµÈ¡£¡£¡£¡£¡£¡£
Ë÷À·ÆÄáÊǵÚÒ»¸öÓÃÓÚÖ×ÁöÖÎÁƵĶà°Ðµã¼¤Ã¸ÒÖÖÆ¼Á£¬£¬£¬ÄÜÒÖÖÆRAF-1¡¢B-RAFµÄË¿°±Ëá/ËÕ°±Ëἤø»îÐÔ£¬£¬£¬Í¬Ê±¿ÉÒÔÒÖÖÆVEGFR-2¡¢VEGFR-3¡¢PDGF-¦Â¡¢KTI¡¢FLT-3µÈ¶àÖÖÊÜÌåµÄÀÒ°±Ëἤø»îÐÔ¡£¡£¡£¡£¡£¡£Ë÷À·ÆÄá¾ßÓÐË«ÖØ¿¹Ö×Áö×÷Ó㬣¬£¬¼È¿ÉÒÔ×è¶ÏÓÐÓÉRAF/MEK/ERK½éµ¼µÄϸ°ûÐźÅתµ¼Í¨Â·£¬£¬£¬Ö±½ÓÒÖÖÆÖ×Áöϸ°ûµÄÔöÖ³£¬£¬£¬»¹¿ÉÒÔͨ¹ý×÷ÓÃÓÚVEGF¡¢PDGF-¦ÂµÈÊÜÌ壬£¬£¬ÒÖÖÆÐÂÉúѪ¹ÜµÄÐγɺÍ×è¶ÏÖ×Áöϸ°ûµÄÓªÑø¹©Ó¦ºÍ´úл¶øµÖ´ï×èÖ¹Ö×ÁöÉú³¤µÄÄ¿µÄ¡£¡£¡£¡£¡£¡£ÔÚ2005Äê12Ô£¬£¬£¬ÃÀ¹úFDA¾ÍÅú×¼ÆäÓÃÓÚÖÎÁÆÍíÆÚÉö°©£¬£¬£¬ºó2007Äê11Ô£¬£¬£¬ÃÀ¹úFDAÔÙ´ÎÅú×¼ÆäÓÃÓÚÎÞ·¨ÇгýÖÎÁƵÄÍíÆÚ¸Î°©¡£¡£¡£¡£¡£¡£¸ÃÒ©ÔÚÎÒ¹ú»®·ÖÓÚ2006ÄêºÍ2008Äê±»Åú×¼ÓÃÓÚÍíÆÚÉö°©ºÍÍíÆÚ¸Î°©µÄÖÎÁÆ¡£¡£¡£¡£¡£¡£2011~2015Ò»Á¬ÎåÄ꣬£¬£¬Ë÷À·ÇÄáµÄÄêÏúÊÛ¶îÁè¼Ý10ÒÚÃÀÔª¡£¡£¡£¡£¡£¡£

Ë÷À·ÇÄΌ°ÐÏòϸ°ûÔöÖ³ºÍѪ¹ÜÌìÉúʾÒâͼ
ÊæÄáÌæÄáÊÇÒ»ÖÖÐÂÐÍßÅßáͪÀà¿Ú·þ¡¢Ñ¡ÔñÐÔ¶à°ÐµãÀÒ°±ËἤøÒÖÖÆ¼Á£¬£¬£¬³ýÒÖÖÆVEGFR-1¡¢VEGFR-2¡¢VEGFR-3¡¢PDGFR-¦Á¡¢PDGFR-¦ÂµÄ»îÐÔÍ⣬£¬£¬Í¬Ê±Ò²ÒÖÖÆ¼¸ÖÖÆäËûÏà¹ØµÄÀÒ°±ËἤøµÄ»îÐÔ£¬£¬£¬°üÀ¨c-KIT¡¢FLT-3ºÍRETÊÜÌ壬£¬£¬¾ßÓп¹Ñª¹ÜÌìÉúºÍ¿¹Ö×Áö»îÐÔµÄË«ÖØ×÷Óᣡ£¡£¡£¡£¡£ÃÀ¹úFDAÒѾÅú×¼ÆäÓÃÓÚÍíÆÚÉöϸ°û°©£¬£¬£¬Î¸³¦¼äÖÊÁöºÍÍíÆÚÒÈÏÙÉñ¾ÄÚÉøÍ¸Áö¡£¡£¡£¡£¡£¡£ÁÙ´²Ç°ÆÚÑо¿Åú×¢£¬£¬£¬ÊæÄáÌæÄáÄܹ»ÓÐÓÃÒÖÖÆÈËNSCLCÒìÖÖÒÆÖ²ÁöÄ£×ÓµÄÉú³¤¡£¡£¡£¡£¡£¡£¶àÏîÁÙ´²Ñо¿ÆÀ¹ÀÁËÊæÄáÌæÄáÔÚÍíÆÚNSCLCÖÎÁÆÖеÄ×÷Ó㬣¬£¬ÆðÔ´ÏÔʾÆäÔÚ¶àÏßÖÎÁƺóµÄÍíÆÚNSCLCÖÐÈÔÄÜÈ¡µÃÒ»¶¨µÄÁÆÐ§£¬£¬£¬ÄܸÄÉÆ»¼ÕßÉúÑÄ£¬£¬£¬ÇÒ¶¾ÐÔÄÍÊÜ¡£¡£¡£¡£¡£¡£
°¢Î÷ÌæÄáÊÇÐÂÒ»´úǿЧµÄ¶à°ÐµãÒ©Î£¬£¬ÆäÖ÷ÒªµÄ×÷ÓðеãΪVEGFR-1¡¢VEGFR-2¡¢VEGFR-3¡¢PDGFR-¦ÂºÍc-KIT£¬£¬£¬ÊÇÏÖÔÚ¶ÔVEGFRÐźÅͨ·ÒÖÖÆÂÊ×îÇ¿µÄÀÒ°±ËἤøÒÖÖÆ¼Á£¬£¬£¬ÔÚ¶àÖÖʵÌåÖ×ÁöÖÐÏÔʾ³öÓÅÒìµÄ¿¹Ö×Áö»îÐÔ¡£¡£¡£¡£¡£¡£FDAÒÑÅú×¼ÓÃÓÚÍíÆÚÉöϸ°û°©µÄ¶þÏßÖÎÁÆ¡£¡£¡£¡£¡£¡£ÔÚÒ»Ïî°¢Î÷ÌæÄáµ¥Ò©ÖÎÁÆÍíÆÚNSCLCµÄIIÆÚÁÙ´²Ñо¿ÖУ¬£¬£¬ÏÔʾÁËÆäÔÚNSCLC»¼ÕßÖÐÓÅÒìµÄ¿¹Ö×Áö»îÐÔºÍÇå¾²ÐÔ¡£¡£¡£¡£¡£¡£
Äá´ïÄ᲼ΪÈýÖØÀÒ°±ËἤøÒÖÖÆ¼Á£¬£¬£¬°Ðµã°üÀ¨VEGF¡¢PDGFºÍFGF£¬£¬£¬Ò²¿ÉÒÖÖÆMAPKºÍAKTµÄ¼¤»î¡£¡£¡£¡£¡£¡£ÌåÍâÑо¿Åú×¢£¬£¬£¬Äá´ïÄá²¼ÄÜÒ»Á¬ÒÖÖÆVEGFR-2´ï30СʱÒÔÉÏ¡£¡£¡£¡£¡£¡£I-IIÆÚÁÙ´²Ñо¿ÏÔʾ£¬£¬£¬Äá´ïÄá²¼¶ÔµÚÒ»¡¢¶þÏßÖÎÁÆÊ§°ÜµÄ¸´·¢×ªÒÆÐÔNSCLC¼°¾Ö²¿ÍíÆÚNSCLCÓÐÓ㬣¬£¬²¿·Ö»¼ÕßÌåÏÖΪÖ×ÁöËõС£¬£¬£¬²¡ÇéÎȹ̡£¡£¡£¡£¡£¡£
жà°ÐµãÒÖÖÆ¼ÁµÄ·¢Ã÷
ÒÖÖÆp53-MDM2ÂѰ×Á¬ÏµºÍ×éÂѰ×È¥ÒÒõ£»£»£»£»£»£»¯Ã¸(HDACs)ÊÇ¿¹Ö×ÁöÒ©Î↑·¢µÄÖ÷Òª°Ðµã¡£¡£¡£¡£¡£¡£ÊÜMDM2ºÍHDACsÐͬ×÷ÓÃµÄÆô·¢£¬£¬£¬Shipeng HeµÈÈË·¢Ã÷Á˵ÚÒ»¸öMDM2/HDACsË«ÒÖÖÆ¼Á(14d)£¬£¬£¬¶ÔMDM2/HDACsÕâÁ½¸ö°Ðµã¶¼ÓкܺõĻîÐÔ,ÇÒÆä¿¹Ö×Áö»úÖÆÔÚ°©Ï¸°ûÖлñµÃÑéÖ¤£¬£¬£¬ÎªÐÂÐÍ¿¹Ö×ÁöÒ©ÎïµÄ¿ª·¢ÌṩÁËÒ»ÖÖºÜÓÐǰ;µÄС·Ö×ÓÒÖÖÆ¼Á[1]¡£¡£¡£¡£¡£¡£

p53ÊÇÒ»ÖÖת¼Òò×Ó,ÔÚÔ¤·ÀÖ×ÁöÉú³¤ÖÐÊÎÑÝ×ÅÖ÷Òª½ÇÉ«¡£¡£¡£¡£¡£¡£Ô¼Äª50%µÄÈËÀà°©Ö¢Óëp53µÄʧ»îÓйØ[2]¡£¡£¡£¡£¡£¡£MDM2»ùÒòÉϵÄrs2279744λµã±¬·¢Í»±äºó£¬£¬£¬ÆäÂѰײúÆ·Äܹ»Óë P53 ÂѰ×Á¬Ïµ²¢ÔöÇ¿Æä½µ½â£¬£¬£¬´Ó¶øµ¼Ö P53 ÂѰ׵ÄÒÖ°©×÷ÓÃÏ÷Èõ¡£¡£¡£¡£¡£¡£Òò´Ë£¬£¬£¬ÒÖÖÆp53-MDM2ÂѰ×ÖÊÁ¬Ïµ³ÉΪÁËÒ»ÖÖÐÂÐËÓÐǰ;µÄ°©Ö¢ÖÎÁƲßÂÔ[3]¡£¡£¡£¡£¡£¡£Ñо¿·¢Ã÷£¬£¬£¬¼òµ¥»¯ºÏÎïͬʱµ÷ÖÆ¶à¸ö°Ðµã¿ÉÄܻᱬ·¢Ô½·¢×¿Ô½µÄ¹¦Ð§ÒÔ¼°¸üÉٵĸ±×÷ÓÃ[4]¡£¡£¡£¡£¡£¡£×éÂѰ×È¥ÒÒõ£»£»£»£»£»£»¯Ã¸(HDACs),Ò»ÖÖ±í¹ÛÒÅ´«Ã¸,ÔÚµ÷ÀíÖ×ÁöÒÖÖÆ»ùÒòµÄ±í´ï·½ÃæÊ©Õ¹×ÅÖÁ¹ØÖ÷ÒªµÄ×÷ÓÃ[5]¡£¡£¡£¡£¡£¡£È»¶ø,´ó´ó¶¼HDACÒÖÖÆ¼ÁÐèÒªÓëÆäËû¿¹Ö×ÁöÒ©ÎïÁ¬ÏµÊ¹ÓÃ,ʵÏÖÐͬЧӦ[6]¡£¡£¡£¡£¡£¡£Òò´Ë£¬£¬£¬£¬£¬£¬Shipeng HeµÈÈ˺ÏÀíÑо¿Éè¼ÆÁËÊ׸öMDM2/HDACË«ÒÖÖÆ¼Á£¨14d£©¡£¡£¡£¡£¡£¡£ÔÚA549ÒìÖÖÒÆÖ²Ä£×ÓÖУ¬£¬£¬Ë«ÒÖÖÆ¼Á14dµÄ¿¹Ö×ÁöЧ¹ûÓÅÒ죬£¬£¬Ö¤ÊµÎúÕâÖÖÐÂÐͶà°ÐÏò¿¹Ö×ÁöÒ©ÎïÉèÕ½ÂÔÂԵļÛÖµ¡£¡£¡£¡£¡£¡£

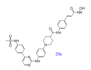
ÔÚÁÙ´²ÉÏ£¬£¬£¬°×Ѫ²¡»¼Õß³£Òò»¯ÁÆÁÆÐ§ÓÐÏÞ£¬£¬£¬ÇÒÒ×ÊÜÇÖÏ®ÐÔÕæ¾ú²¡ÔѬȾ¡£¡£¡£¡£¡£¡£Yahui HuangµÈÈËÌá³öÁËÒ»ÖÖеÄÖÎÁƲßÂÔ£ºÐ¡·Ö×ÓÒÖÖÆ¼Á¿ÉÒÔͬʱÖÎÁư×Ѫ²¡ºÍÇÖÏ®ÐÔÕæ¾úѬȾ(IFIs)¡£¡£¡£¡£¡£¡£ÐÂÐÍJanus¼¤Ã¸2(JAK2)ºÍ×éÂѰ×È¥ÒÒõ£»£»£»£»£»£»¯Ã¸(HDAC)Ë«ÖØÒÖÖÆ¼Á¶ÔѪҺϸ°ûϵ¾ßÓнÏÇ¿µÄ¿¹ÔöÖ³»îÐÔ¡£¡£¡£¡£¡£¡£ÆäÖУ¬£¬£¬»¯ºÏÎï20aÊÇÒ»Öָ߶ȻîÐÔºÍÑ¡ÔñÐÔµÄJAK2/ HDAC6Ë«ÖØÒÖÖÆ¼Á£¬£¬£¬ÔÚ¼¸ÖÖ¼±ÐÔËèϵ°×Ѫ²¡(AML)Ä£×ÓÖÐÏÔʾ³ö¼«ºÃµÄÌåÄÚ¿¹Ö×Áö×÷Ó㬣¬£¬²¢¿ÉÓë·ú¿µßòÐͬÖÎÁÆÄÍÒ©µÄ°×É«ÄîÖé¾úѬȾ[7]¡£¡£¡£¡£¡£¡£

Christel J MenetÌᵽС·Ö×ÓÒÖÖÆ¼Á6£¬£¬£¬Ëü¾ßÓнϺõÄÑ¡ÔñÐÔºÍÓÅÒìµÄ¿Ú·þÉúÎïʹÓöȣ¬£¬£¬²¢ÔÚJAK1ºÍTYK2µÄË«ÖØÒÖÖÆ¸øÒ©¼Æ»®ÖÐÈ¡µÃÁËÁÙ´²Òæ´¦¡£¡£¡£¡£¡£¡£ÔÚ×î½üµÄһƪÂÛÎÄÖÐ[8],Ñо¿Ð§¹ûÅú×¢,TYK2 / JAK1ÒÖÖÆ¼Á6ÓÐÔÚ¿µ½¡ÊÜÊÔÕߺͰ߿éÐÔÒøÐ¼²¡»¼ÕßÖÐÓÐÓÅÒìµÄÇå¾²ÐÔºÍÄÍÊÜÐÔ£¬£¬£¬´Ë½áÂÛÖ§³ÖÒÖÖÆ¼Á6ÔÚÒøÐ¼²¡¼°ÆäËûÑ×ÐÔ¼²²¡ÖÎÁÆÖÐÖµµÃ½øÒ»²½ÁÙ´²Ñо¿¡£¡£¡£¡£¡£¡£
´ÓÏÖÔÚÒ©ÎïÑз¢µÄÐÎʽÀ´¿´£¬£¬£¬Á¢ÒìÒ©ÎïµÄÑз¢ÊÇÆÈÔÚü½ÞµÄ£¬£¬£¬¶øÌá¸ßÒ©ÎïÑз¢µÄ×ÛºÏˮƽÊÇÎÒ¹úËùÃæÁÙµÄÖ÷ÒªÄÑÌâ¡£¡£¡£¡£¡£¡£Òò´Ë£¬£¬£¬ÔÚ¶ÔÒÑÖª°ÐµãºÏÀíµÄ¡¢×î´ó¿ÉÄܵÄʹÓÃÊÇ¿ÉʵÑéÇһر¨ÂʸߵÄÑо¿Æ«Ïò£¬£¬£¬Ò²Ó¦¶à¹Ø×¢ÓÚ¶à°ÐµãÒ©ÎïµÄÉè¼Æ£¬£¬£¬´Ó¶ø»ñµÃ¸ü¶àеĶà°ÐµãÒÖÖÆ¼Á£¬£¬£¬¸ø¼²²¡»¼Õß´øÀ´¸üºÃµÄÖÎÁÆÐ§¹û¡£¡£¡£¡£¡£¡£
²Î¿¼ÎÄÏ×£º
1£¬£¬£¬ShipengHe, Guoqiang Dong, Shanchao Wu, Kun Fang, Zhenyuan Miao, Wei Wang and ChunquanSheng.Small Molecules Simultaneously Inhibitingp53-Murine Double Minute 2 (MDM2) Interaction and Histone Deacetylases (HDACs):Discovery of Novel Multitargeting Antitumor Agents.J. Med. Chem. 61, 16, 7245-7260.
2£¬£¬£¬Hainaut,P. Hollstein, M. P53 and human cancer: the first ten thousand mutations. Adv.Cancer Res. 1999, 77, 81¨C 137.
3£¬£¬£¬Wang,S. Zhao, Y. Bernard, D. Aguilar, A. Kumar, S. Targeting the MDM2-p53protein-protein interaction for new cancer therapeutics. Top. Med. Chem. 2012,8, 57¨C 79.
4£¬£¬£¬Singh,A. K. Chauhan, S. S. Singh, S. K. Verma, V. V. Singh, A. Arya, R. K.Maheshwari, S. Akhtar, M. S. Sarkar, J. Rangnekar, V. M. Chauhan, P. M. S.Datta, D. Dual targeting of MDM2 with a novel small-molecule inhibitorovercomes TRAIL resistance in cancer. Carcinogenesis 2016, 37, 1027¨C 1040.
5£¬£¬£¬Ropero,S. Esteller, M. The role of histone deacetylases (HDACs) in human cancer. Mol.Oncol. 2007, 1, 19¨C 25.
6£¬£¬£¬Ong,P. S. Wang, X. Q. Lin, H. S. Chan, S. Y. Ho, P. C. Synergistic effects ofsuberoylanilide hydroxamic acid combined with cispiatin causing cell cyclearrest independent apoptosis in platinum-resistant ovarian cancer cells. Int.J. Oncol. 2012, 40, 1705¨C 1713.
7£¬£¬£¬YahuiHuang, Guoqiang Dong, Huanqiu Li, Na Liu, Wannian Zhang and Chunquan Sheng.Discovery of Janus Kinase 2 (JAK2) andHistone Deacetylase (HDAC) Dual Inhibitors as a Novel Strategy for theCombinational Treatment of Leukemia and Invasive Fungal Infections.J. Med. Chem. 2018, 61, 6056?6074.
8£¬£¬£¬Banfield,C. Scaramozza, M. Zhang, W. Kieras, E. Page, K. M. Fensome, A. Vincent, M.Dowty, M. E. Goteti, K. Winkle, P. J. Peeva, E. The Safety, Tolerability,Pharmacokinetics, and Pharmacodynamics of a TYK2/JAK1 Inhibitor (PF-06700841)in Healthy Subjects and Patients With Plaque Psoriasis. J. Clin. Pharmacol.2018, 58 (4), 434¨C447.
Ïà¹ØÐÂÎÅ