Example ImageÃÀ¸ß÷

EN
EN
  • ÓªÒµ×Éѯ

    Öйú£º

    Email: marketing@medicilon.com.cn

    ÓªÒµ×ÉѯרÏߣº400-780-8018

    £¨½öÏÞЧÀÍ×Éѯ£¬£¬£¬ÆäËûÊÂÒËÇ벦´ò´¨É³×ܲ¿µç»°£©

    ´¨É³×ܲ¿µç»°: +86 (21) 5859-1500

    ÍâÑó£º

    +1(781)535-1428(U.S.)

    0044 7790 816 954 (Europe)

    Email:marketing@medicilon.com

ÔÚÏßÁôÑÔ¡Á
µã»÷Çл»
News information
ÐÂÎÅ×ÊѶ

ÃÀ¸ß÷ÉúÎïѧЧÀÍ£º¸³ÄÜÁ¢ÒìÒ©ÎïÑз¢

2025-12-18
|
»á¼ûÁ¿£º

ÃÀ¸ß÷ÉúÎïÒ½Ò©ÌṩÖÜÈ«µÄÉúÎïѧƽ̨£¬£¬£¬ÒÔ¼ÓËÙÒ©Îï·¢Ã÷Ó뿪·¢¡£¡£¡£ÒÀ¸½Áè¼Ý¶þÊ®ÄêµÄÑз¢ÂÄÀú¡¢ÖØ´óµÄ¿ÆÑ§¼Òר¼ÒÍŶӺÍÁÉÀ«µÄʵÑéÊÒ»ù´¡ÉèÊ©£¬£¬£¬ÃÀ¸ß÷Ϊ´ÓÔçÆÚ·¢Ã÷µ½×ª»¯Ò½Ñ§µÄÕû¸öÒ©ÎïÁ¢ÒìÀú³ÌÌṩ֧³Ö¡£¡£¡£

ÎÒÃÇÉúÎïѧЧÀ͵Ľ¹µãÊǶÔ׿ԽÐÔ¡¢¿ÉÀ©Õ¹ÐÔºÍËÙÂʵÄÔÊÐí£¬£¬£¬Í¨¹ý×îÏȽøµÄ¼¼ÊõºÍÒÔ¿Í»§ÎªÖÐÐĵÄÀíÄîÀ´ÊµÏÖ¡£¡£¡£

Çý¶¯ÉúÎïѧÄÜÁ¦µÄ½¹µãƽ̨

ÃÀ¸ß÷ÉúÎïÒ½Ò©ÓÉËĴ󽹵㹦Чµ¥Î»Çý¶¯£¬£¬£¬ÐγÉÒ»¸öÕûºÏµÄϵͳ£¬£¬£¬Ö§³ÖÍêÕûµÄÒ©Îï·¢Ã÷Á÷³Ì¼°×÷ÓûúÖÆÏà¹ØÑо¿¡£¡£¡£

¼¼ÊõÓëÒÇÆ÷

ÎÒÃDZü³Ö׿ԽÐÔ¡¢¿ÉÀ©Õ¹ÐԺͿìËÙµÄÔ­Ôò£¬£¬£¬ÔËÓÃÏȽøµÄ¼¼Êõ£¬£¬£¬²¢ÒÔ¿Í»§ÖÁÉϵÄÀíÄ£¬£¬ÔÚÿһ´ÎÏàÖúÖÐÁ¦ÕùÍêÃÀ¡£¡£¡£

Biacore 8K? SPR
HTRF/AlphaLISA/Reporter cell
µ¥Ï¸°ûÆÊÎöϵͳ£¨Rhapsody-BD£¬£¬£¬SH800-Sony£©
NanoString Proϵͳ
AKTA Pure (GE) & LC-20ADXR (Shimadzu)
Automatic Liquid Handler (Bravo-Agilent)
BD LSRFortessa?£¨20 Channels£©
ÏàʶÎÒÃÇÔõÑù¼ÓËÙÄúµÄÑз¢Ä¿µÄ
--Á¢¼´ÁªÏµÃÀ¸ß÷

ÂѰ×ÖÊ¿ÆÑ§Ó빤³Ì

ÂѰ×Öʹ¤³ÌÓë±í´ïϵͳ

ÃÀ¸ß÷ÌṩÎȽ¡µÄÂѰ׹¤³ÌЧÀÍ£¬£¬£¬ÊÇÒ©Îï°ÐµãÑéÖ¤ÓëÉúÎï´ó·Ö×ÓÒ©ÎïÑз¢µÄÖ÷ÒªÖ§³Ö¡£¡£¡£ÎÒÃǽÓÄɶàÖÖ±í´ïϵͳ£¬£¬£¬È·±£ÂѰ׵ĸ߲úÁ¿Óë¸ßÖÊÁ¿¡£¡£¡£

Ôڴ󳦸˾ú¡¢¸Ë×´²¡¶¾¼°²¸È鶯Îï±í´ïϵͳÖоÙÐÐÂѰױí´ï
Õë¶ÔÎȹÌÐÔ¡¢ÏûÈÚÐÔºÍÉúÎï»îÐÔ¾ÙÐй¤³Ì»¯Ë¢ÐÂ
ø¡¢¼¤Ã¸¼°ÖÎÁÆÐÔÂѰ׵ÄÖÆ±¸
ÊÔ¼Á¿ª·¢£¨¹¤¾ßÐ͹¤³Ì»¯Ï¸°ûϵ¡¢ÂѰ×Ó뿹Ìå±ê¼Ç¼°ÆÊÎö£©

ÂѰ×ÖÊ´¿»¯Óë½á¾§

¿É·Å´ó´¿»¯¹æÄ££¨1 mg¨C500 mg£©£¬£¬£¬´¿¶È >95%
±êÇ©ÀàÐÍ£ºHis¡¢GST¡¢SUMO¡¢MBP¡¢Flag¡¢Strep
½á¾§²ßÂÔ£º½þÅÝ·¨¡¢ÐüµÎ·¨¡¢Î¢Í¸Îö·¨

½á¹¹ÆÊÎö

ÔÚÃÀ¹ú APS ÓëÉϺ£Í¬²½·øÉä¹âÔ´¾ÙÐÐÊý¾ÝÊÕÂÞ
·Ö×ÓÖû»·¨¡¢SeMet ±ê¼Ç¡¢ÖØÔ­×Ó½þÅÝ·¨

KRAS-G12DµÄɸѡչʾÁ˸ßÖÊÁ¿¾§ÌåÉú³¤ËùÐèÌõ¼þµÄÓÅ»¯.webp

KRAS G12DµÄɸѡչʾÁ˸ßÖÊÁ¿¾§ÌåÉú³¤ËùÐèÌõ¼þµÄÓÅ»¯¡£¡£¡£

ʹÓÃͬ²½·øÉä-X-ÉäÏßÔ´¾ÙÐÐ-X-ÉäÏßÑÜÉäÊý¾ÝÍøÂç.webp

ʹÓÃͬ²½·øÉä X ÉäÏß¹âÔ´¾ÙÐÐ X ÉäÏßÑÜÉäÊý¾ÝÊÕÂÞ£¬£¬£¬ÒÔ»ñµÃ¸ßÇø·ÖÂÊÑÜÉäͼÑù£¬£¬£¬ÕâÊÇʵÏÖ׼ȷ½á¹¹ÆÊÎöµÄÒªº¦°ì·¨¡£¡£¡£

KRAS G12D¾§Ìå½á¹¹Õ¹ÏÖÁËÂѰ×ÖʵĹ¹ÏóºÍ GDP Á¬Ïµ×´Ì¬¡£¡£¡£.jpeg

KRASG12D µÄ¾§Ìå½á¹¹Õ¹ÏÖÁ˸ÃÂѰ׵Ĺ¹ÏóÌØÕ÷¼°Æä GDP Á¬Ïµ×´Ì¬¡£¡£¡£

KRAS G12D -MRTX1133£¨°Ð±êÒÖÖÆ¼Á£©¹²½á¾§.jpeg

KRAS G12D -MRTX1133£¨°Ð±êÒÖÖÆ¼Á£©¹²½á¾§£¬£¬£¬Õ¹Ê¾ÁËÓëÒ©ÎïÉè¼ÆÏà¹ØµÄÁ¬ÏµÄ£Ê½ºÍ·Ö×ÓÏ໥×÷Óᣡ£¡£

¼ì²âƽ̨Óë×÷ÓûúÖÆÆÀ¹À

ÉúÎïÎïÀí²â¶¨

ÃÀ¸ß÷ÉúÎïÎïÀíÆÊÎöÒªÁìÄܹ»¶Ô·Ö×ÓÏ໥×÷ÓþÙÐж¨Á¿ÆÊÎö¡£¡£¡£

SPRÁ¬Ïµ¶¯Á¦Ñ§£ºÒ©Îï¨C°Ðµã¼°ÂѰ×Ï໥×÷ÓÃÑо¿
·Å´ó»¯ÓëϸÄ廯ÆÊÎö£ºÇ׺ÍÁ¦£¨KD£©¡¢IC50/EC50¡¢Á¬ÏµÄ£Ê½

øѧ¼ì²â

ÃÀ¸ß÷ÍêÉÆµÄøѧ¼ì²âÄÜÁ¦£¬£¬£¬ÖÜȫ֧³ÖС·Ö×ÓÓëÉúÎï´ó·Ö×ÓÒ©Îï·¢Ã÷Ñо¿¡£¡£¡£

¼¤Ã¸Æ×
ÁýÕÖ 150 ÓàÖÖÒÑÑéÖ¤µÄ¼¤Ã¸¼ì²â£¬£¬£¬º­¸Ç¶à¸ö¼¤Ã¸¼Ò×壬£¬£¬²¢°üÀ¨Õë¶ÔÌØ¶¨ EGFR Óë ALK Í»±äÌåµÄ¼ì²âϵͳ

150 ¶àÖÖ¾­ÓÉÑéÖ¤µÄ¼¤Ã¸¼ì²âÒªÁì.jpeg

ÆäËûøѧ¼ì²â
°üÀ¨ PDE ¼Ò×å³ÉÔ±¡¢ÂѰ×ø¼°ÆäËû¹¦Ð§ÐÔøµÄ¼ì²âÃæ°å£¬£¬£¬½ÓÄÉ HTRF¡¢ADP-Glo ºÍ AlphaLISA µÈ¼¼Êõƽ̨¡£¡£¡£

ÆäËûø»îÐԲⶨ.jpeg

ºÏ³ÉÖÂËÀÑо¿¡¢EGFR / ALK ÒÖÖÆ¼ÁÆÀ¼Û

ϸ°û¹¦Ð§ÐÔ¼ì²â

ÎÒÃÇÖÜÈ«µÄϸ°û¹¦Ð§ÐÔ¼ì²âϵͳ£¬£¬£¬ÊÇÆÀ¹ÀÒ©ÎïÁÆÐ§¼°×÷ÓûúÖÆµÄÒªº¦»ù´¡¡£¡£¡£

ϸ°ûÔöÖ³/»îÁ¦
½ÓÄÉ MTT¡¢CCK-8¡¢CTG¡¢MTS ºÍ LDH µÈÒªÁìÆÀ¹Àϸ°û¶¾ÐÔÓëÉú³¤ÒÖÖÆ×÷Óᣡ£¡£

ϸ°ûµòÍöÓ뻵ËÀ
ͨ¹ý Annexin V Ⱦɫ£¨FACS£©¼° Caspase 3/7 Glo ʵÑé¾ÙÐж¨Á¿ÆÊÎö¡£¡£¡£

ϸ°ûǨáãÓëÇÖÏ®
½ÓÄÉ Transwell ʵÑé¼° Oris? ϸ°ûǨáãʵÑé¾ÙÐÐÆÀ¹À¡£¡£¡£

ϸ°ûÐźÅͨ·
ͨ¹ý Western Blot£¨WB£©¡¢HTRF¡¢AlphaLISA¡¢FACS ºÍ MSD µÈÒªÁ죬£¬£¬ÆÀ¹ÀÁ×Ëữˮƽ¡¢ÊÜÌåÄÚÍ̼°ÐźÅͨ·¼¤»îÇéÐΡ£¡£¡£

ÏȽøÊµÑéϵͳ
Ö§³Ö¶þάÓëÈýάϸ°û×÷Óýϵͳ¡¢Ð­Í¬×÷ÓòâÊÔ¼°Ò©ÎïÁªÊÊÓÃÒ©Ñо¿¡£¡£¡£

ÌØÊâÖÎÁÆ·½·¨

siRNA/mRNAÒ©ÎïÆ½Ì¨

ÃÀ¸ß÷רעÓÚСºËËáÒ©Îï·¢Ã÷ÁìÓòµÄÏȽø¼¼Êõ£¬£¬£¬ÌṩÁýÕÖ siRNA Óë mRNA ÖÎÁÆÒ©ÎïµÄ×ÛºÏÑз¢Æ½Ì¨¡£¡£¡£

´ÓÐòÁÐÉè¼Æµ½ÌåÍâÓëÌåÄÚ PK/PD Ñо¿
°ÐµãÑéÖ¤ÓëÍѰÐЧӦɸѡ

PROTAC ÆÀ¹À

ÎÒÃÇרҵµÄƽ̨֧³Ö PROTAC ºÍ·Ö×Ó½ºÒ©ÎïµÄ·¢Ã÷ºÍÆÀ¹À¡£¡£¡£

ÎÞϸ°û¼ì²âϵͳ£¬£¬£¬°üÀ¨¶þÔª/ÈýÔª¸´ºÏÎïÐγÉʵÑé
¶àÖÖÐÎʽµÄϸ°ûÄÚÂѰ׽µ½â¼ì²â

ADCÆÀ¹À

»ùÓÚÁè¼Ý 300 ÖÖÖ×Áöϸ°ûϵ¿â£¬£¬£¬ÃÀ¸ß÷½¨ÉèÁËÁýÕְеãÑ¡Ôñ¡¢°ûÄÚתÔ˼°Çå¾²ÐÔÆÀ¼ÛµÄÍêÕû ADC ÌåÍâ¼ì²âƽ̨¡£¡£¡£

ÓÐÓÃÔØºÉ£¨Payloads£©£ºMMAE¡¢DM1¡¢DXd
ÅþÁ¬×Ó£¨Linkers£©£º¿ÉÇиî/²»¿ÉÇиî
¹¦Ð§ÐÔ¼ì²â£ºÁ¬ÏµÄÜÁ¦¡¢ÄÚÍÌ£¨FACS¡¢³ÉÏñ¡¢IncuCyte£©¡¢Ï¸°û¶¾ÐÔ / ÅÔ¹ÛÕßЧӦ¡¢Ï¸°ûÒò×ÓÊÍ·Å£¨Luminex£©¡¢×÷ÓûúÖÆ£¨MoA£©Ïà¹Ø¼ì²â

ÌØÊâ°ÐµãÖÖ±ð¼ì²â

GPCR/ÐźÅͨ·

ÃÀ¸ß÷µÄרҵ GPCR ƽ̨¿É¶Ô G ÂѰ׿ÁªÊÜÌå¼°ÆäÏà¹ØÐźÅͨ·¿ªÕ¹ÉîÈëµÄ¹¦Ð§ÐÔÆÊÎö¡£¡£¡£

GLP1¡¢GIP¡¢GCGR µÄ¼¤»îÑо¿
¼ì²âÒªÁ죺cAMP¡¢Ca??ÐźŴ«µ¼ºÍHTRF

GLP1¡¢GIP¡¢GCGR µÄ¼¤»îÑо¿.webp

GLP1RºÍGCGR±í´ïϸ°ûÖÐcAMPµÄÊÍ·Å

GLP1RºÍGCGR±í´ïϸ°ûÖÐcAMPµÄÊÍ·Å.webp

A£º½ÓÄÉ TR-FRET ÒªÁì¼ì²âÒȸßѪÌÇËØÔÚ HEK293/G¦Á15/GCGR ϸ°ûÖÐÓÕµ¼µÄ cAMP ÊÍ·Å

B£º½ÓÄÉ TR-FRET ÒªÁì¼ì²âÌæ¶û²´ëÄ£¨Tirzepatide£©ÔÚ HEK293/GIPR ϸ°ûÖÐÓÕµ¼µÄ cAMP ÊÍ·Å

C£º½ÓÄÉ TR-FRET ÒªÁì¼ì²â»¯ºÏÎïÔÚ CHO-K1/GLP2R/G¦Á15 ϸ°ûÖÐÓÕµ¼µÄ cAMP ÊÍ·Å

ÃâÒßϸ°û¹¦Ð§ÓëÃâÒßÁÆ·¨

ÃÀ¸ß÷ÏȽøµÄÃâÒßϸ°ûÆÊÎöƽ̨£¬£¬£¬Ö§³ÖÃâÒßÖÎÁÆ¡¢ÒßÃ翪·¢¼°»ù´¡ÃâÒßѧÑо¿£º

CAR-T¡¢TCR-T¡¢NK¡¢TIL±íÐÍÆÊÎöÓ빦Ч¼ì²â
ϸ°ûÒò×ÓÊͷżì²â£¨MSD¡¢Luminex£©¡¢T/B ϸ°û¼¤»îÓëÔöÖ³¡¢ADCC / CDC ÆÊÎö

CAR-T¡¢TCR-T¡¢NK¡¢TIL±íÐÍÆÊÎöºÍ¹¦Ð§¼ì²â.jpeg

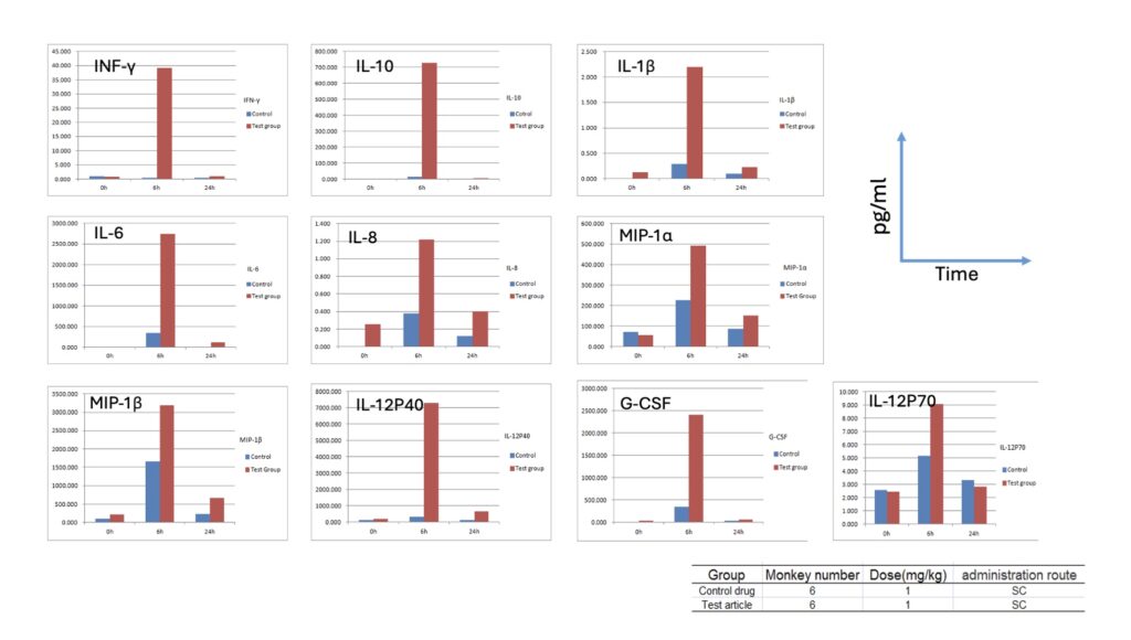
ʳзºïѪÇåϸ°ûÒò×Ó/Ç÷»¯Òò×Ó¶àÖØ MSD ÆÊÎö
ÔÚʳзºï£¨Ã¿×é n = 6£©ÖУ¬£¬£¬ÓÚÆ¤Ï¸øÒ©£¨1 mg/kg£©±ÈÕÕ»òÊÜÊÔÑùÆ·ºó 0¡¢6 ºÍ 24 Сʱ£¬£¬£¬½ÓÄɶàÖØ MSD ÒªÁì¼ì²âѪÇåÖеÄϸ°ûÒò×Ó/Ç÷»¯Òò×Óˮƽ¡£¡£¡£¼ì²âÖ¸±ê°üÀ¨ IFN-¦Ã¡¢IL-10¡¢IL-1¦Â¡¢IL-6¡¢IL-8¡¢MIP-1¦Á¡¢MIP-1¦Â¡¢IL-12P40¡¢G-CSF ºÍ IL-12P70¡£¡£¡£Óë±ÈÕÕ×éÏà±È£¬£¬£¬ÊÔÑé×飨ºìÉ«Öù£©ÔÚ 6 Сʱ·ºÆðϸ°ûÒò×ÓÉý¸ß£¬£¬£¬ÌáÐѼ±ÐÔÃâÒß·´Ó¦¡£¡£¡£

¶àÖØMSDÆÊÎö·¨.webp

½«ÈËÍâÖÜѪµ¥¸öºËϸ°û£¨PBMC£©Ó뿹Ìå»ò ADC ¹²·õÓý£¬£¬£¬½ÓÄÉ Luminex ÒªÁì¼ì²âÉÏÇåÒºÖеÄϸ°ûÒò×ÓÊÍ·Å¡£¡£¡£

MSD ¶àÖØ¼ì²âÃæ°å

MSD¶àÖØ¼ì²â×éºÏ.webp

¿¹ÌåÓëÉúÎï´ó·Ö×Ó·¢Ã÷ƽ̨

ÃÀ¸ß÷ÌṩÍêÉÆÇҸ߶ÈÕûºÏµÄ¿¹ÌåÓëÉúÎï´ó·Ö×Ó·¢Ã÷ƽ̨£¬£¬£¬Ö§³ÖÏîÄ¿´ÓÔçÆÚ·¢Ã÷½×¶ÎÖ±ÖÁ IND É걨¡£¡£¡£

¿¹Ìå·¢Ã÷ƽ̨

ÔÓ½»Áöƽ̨
ÊɾúÌåչʾƽ̨
µ¥Bϸ°û²âÐòƽ̨
mRNAչʾ¼¼Êõ

ÈËÔ´»¯ÓëÓÅ»¯
1) ´Ó¶¯ÎïÃâÒßµ½¿¹Ìå²âÐòµÄÒ»Ì廯Á÷³Ì
2) ÓÃÓÚ PK/PD¡¢¶¾ÐÔ¼°×÷ÓûúÖÆ£¨MoA£©µÄÆÊÎöÊÂÇé

NanoString Óë¸ßͨÁ¿×ªÂ¼×éѧ
¶à×éѧ¡¢Êý¾ÝÆÊÎöÓëת»¯Ñо¿

ÃÀ¸ß÷½ÓÄÉÏȽøµÄ¶à×éѧ¼¼Êõ£¬£¬£¬ÌṩÉîÈëµÄÉúÎïѧ¶´²ì¡£¡£¡£

NanoString nCounter Proϵͳ

ÎÞÐèÀ©ÔöµÄ¸ßͨÁ¿¡¢¶àÖØ mRNA ¶¨Á¿¼ì²â
ÁýÕÖÖ×Áöѧ¡¢ÃâÒßѧ¡¢Ñ¬È¾ÐÔ¼²²¡¡¢Éñ¾­¿ÆÑ§µÈÁìÓòµÄ 29 ¸ö¼ì²âÃæ°å

¹¦Ð§ÐÔ¼ì²âϵͳ

ϸ°ûÒò×ÓÆÊÎö
ÐźŴ«µ¼¼ì²â£¨cAMP/cGMPÊͷżì²â¡¢IP3Êͷżì²â¡¢¸ÆÀë×ÓÊͷżì²â£©
Á×ËữÆÊÎö
RNA²âÐò
»ùÓÚLuminex¡¢MSDºÍELISAµÄ¸ßͨÁ¿¼ì²âƽ̨

Êý¾Ý±¨¸æ

ÈÈÁ¦Õù
»ðɽͼ
¶¨ÖÆ»¯ÉúÎïÐÅϢѧ¿ÉÊÓ»¯

¿¹ÌåºÍÉúÎïÖÆ¼Á·¢Ã÷ƽ̨:
ÃÀ¸ß÷µÄÕûºÏÉúÎïѧÓëÌåÍâÒ©Àíѧƽ̨ΪҩÎï·¢Ã÷ºÍÁÙ´²Ç°Ñо¿Ìṩ¶Ëµ½¶ËµÄ½â¾ö¼Æ»®¡£¡£¡£

ÄÜÁ¦½¹µã²ú³öÓ¦Óó¡¾°
ÂѰ×Öʱí´ïÓ빤³ÌÖØ×éÂѰ×ÊÔ¼Á¼ì²âÆÊÎö¡¢½á¹¹ÉúÎïѧ
¼ì²âƽ̨SPR¡¢Ã¸Ñ§¼ì²â¡¢2D/3Dϸ°ûÄ£×Ó×÷ÓûúÖÆ£¨MoA£©ÓëÒ©ÀíѧÑо¿
ÖÎÁÆ·½·¨£¨siRNA/ADC/PROTAC/ëÄ£©×÷ÓûúÖÆÆÀ¹ÀÒ©ÎïÑéÖ¤
¿¹Ìå·¢Ã÷¿¹Ìå¡¢ÄÉÃ׿¹Ìå¡¢ëÄÀàÅäÌåÉúÎï´ó·Ö×ÓÏȵ¼»¯ºÏÎï·¢Ã÷
GPCR/ÃâÒß¼ì²â¹¦Ð§ÐÔÐźÅͨ·¡¢ÃâÒßÖÎÁÆÖ×ÁöÃâÒß¡¢´úлÐÔ¼²²¡
¶à×éѧ & NanoStringת¼×éѧ¡¢ÉúÎïÐÅϢѧ¶´²ìת»¯Ò½Ñ§Ñо¿
Ïà¹ØÐÂÎÅ
¡¾ÔÆ¿ÎÌá¿´ÓÒ©Îï·¢Ã÷µ½INDÉ걨-¹á´®Ê¼ÖÕµÄDMPKÑо¿
2020-03-27
2020Äê03ÔÂ27ÈÕ14:00-15:00£¬£¬£¬ÃÀ¸ß÷¿ªÆôÁËÏßÉÏÖ±²¥¿Î³ÌµÚÎå½²£¬£¬£¬ÓÉÃÀ¸ß÷ÔçÆÚÒ©´ú¶¯Á¦Ñ§ÊÒÖ´ÐÐÖ÷ÈÎÂí·É²©Ê¿×öרÌⱨ¸æ¡¶´ÓÒ©Îï·¢Ã÷µ½INDÉ걨-¹á´®Ê¼ÖÕµÄDMPKÑо¿¡·£¬£¬£¬»¶Ó­Ô¢Ä¿»Ø·ÅÊÓÆµ¡£¡£¡£
·Ö×ÓÉúÎïѧʵÑé¼¼Êõ
2018-01-31
·Ö×ÓÉúÎïѧ£¨Molecular biology£©ÊǶÔÉúÎïÔÚ·Ö×ÓÌõÀíÉϵÄÑо¿¡£¡£¡£ÕâÊÇһѧÉúÎïѧºÍ»¯Ñ§Ö®¼ä¿çѧ¿ÆµÄÑо¿£¬£¬£¬ÆäÑо¿ÁìÓòº­¸ÇÁËÒÅ´«Ñ§¡¢ÉúÎﻯѧºÍÉúÎïÎïÀíѧµÈѧ¿Æ¡£¡£¡£
ÉúÎïѧ¹¦Ð§Ñ§É¸Ñ¡ÆÀ¼Û֮øѧɸѡÆÀ¼Ûƪ
2017-12-13
ÔÚ¾ø´óÊýÒ©Îï°ÐµãÖÐøѧ°ÐµãÊÇÒ»¸ö´óÀà¡£¡£¡£±¾ÎÄÖ÷ÒªÒÔø´ß»¯µÄ»ù±¾»¯Ñ§·´Ó¦Ô­ÀíΪÆðµã£¬£¬£¬¸ÅÊöºÍÐðÊöÏÂø´ß»¯·´Ó¦µÄ¼¸¸ö»ù±¾¿´·¨Km£¬£¬£¬KcatºÍKi£¬£¬£¬ÒÔ¼°Æä²â¶¨ÒªÁ죬£¬£¬ÆÊÎöÏÂÒ»¸öѸËÙµÄøѧɸѡҪÁ쿪·¢µÄ¼¸¸öÒªº¦°ì·¨£¬£¬£¬¹éÄÉ×ÛºÏÐðÊöÏÂøÒÖÖÆ¼ÁµÄÀàÐÍÒÔ¼°ÔÚʵÑé¼ì²âÀú³ÌÖвî±ðÀàÐÍøÒÖÖÆ¼ÁµÄIC50ºÍKiÖ®¼äµÄ¹ØÁª¡£¡£¡£
¡Á
ËÑË÷ÑéÖ¤
µã»÷Çл»
¡¾ÍøÕ¾µØÍ¼¡¿¡¾sitemap¡¿