Example ImageÃÀ¸ß÷

EN
EN
  • ÓªÒµ×Éѯ

    Öйú£º

    Email: marketing@medicilon.com.cn

    ÓªÒµ×ÉѯרÏߣº400-780-8018

    £¨½öÏÞЧÀÍ×Éѯ£¬£¬£¬ £¬£¬£¬ÆäËûÊÂÒËÇ벦´ò´¨É³×ܲ¿µç»°£©

    ´¨É³×ܲ¿µç»°: +86 (21) 5859-1500

    ÍâÑó£º

    +1(781)535-1428(U.S.)

    0044 7790 816 954 (Europe)

    Email:marketing@medicilon.com

ÔÚÏßÁôÑÔ¡Á
µã»÷Çл»
Customer Center
¿Í»§ÖÐÐÄ
Jul 10,2025
TBNÊÇÒ»ÖÖÖÎÁÆÈ±ÑªÐÔ×äÖеÄÐÂÐÍÁÙ´²ºòѡҩÎ£¬£¬ £¬£¬£¬±¾Ñо¿ÖÐTBNͨ¹ýÃÀ¸ß÷ºÏ³É
?Stroke is one of the most devastating diseases affecting the health and life of human beings. TBN, a novel tetramethylpyrazine derivative armed with a powerful free radical-scavenging nitrone moiety, has been reported to reduce cerebral infarction in rats through multi-functional mechanisms of action. TBN may serve as a promising new clinical candidate for the treatment of ischemic stroke. Six Cynomolgus macaque monkeys were used for pharmacokinetic study. TBN were given intravenously at doses of 30 and 90?mg/kg, 3 monkeys for each dose. TBN (purity 99.3%) used in this study was synthesized by Medicilon.
Éó²é¸ü¶à
TBNÊÇÒ»ÖÖÖÎÁÆÈ±ÑªÐÔ×äÖеÄÐÂÐÍÁÙ´²ºòѡҩÎ£¬£¬£¬£¬£¬±¾Ñо¿ÖÐTBNͨ¹ýÃÀ¸ß÷ºÏ³É
Jul 10,2025
ÃÀ¸ß÷ÖúÁ¦ÏàÖúͬ°éΤ¶÷ÉúÎïGLP-1С·Ö×Ó¼¤¶¯¼ÁWBD156½ºÄÒÖÐÃÀINDÁÙ´²ÊÔÑéË«±¨Ë«Åú
ÃÀ¸ß÷ΪΤ¶÷ÉúÎïWBD156½ºÄÒÌṩÁËҩѧÑо¿£¨°üÀ¨ÖÊÁÏÒ©¡¢ÖƼÁ£©¡¢ÁÙ´²Ç°Ñо¿£¨°üÀ¨Ò©Ð§¡¢Ò©´úºÍ°²ÆÀ£©ºÍÖÐÃÀË«±¨Ð§ÀÍ£¬£¬£¬ £¬£¬£¬ÒÔרҵ¸ßЧµÄ¸³ÄÜÆ½Ì¨¼ÓËÙÁ¢ÒìÒ©ÎïÁÙ´²×ª»¯¡£¡£¡£
Éó²é¸ü¶à
ÃÀ¸ß÷ÖúÁ¦ÏàÖúͬ°éΤ¶÷ÉúÎïGLP-1С·Ö×Ó¼¤¶¯¼ÁWBD156½ºÄÒÖÐÃÀINDÁÙ´²ÊÔÑéË«±¨Ë«Åú
Jul 10,2025
¿çĤ½á¹¹Óò¹Ñ¾ÛÌåµÄ½á¹¹²â¶¨ÐÂÒªÁ죬£¬£¬ £¬£¬£¬ÆäÖÐTriNTAͨ¹ýÃÀ¸ß÷ºÏ³É
The transmembrane (TM) anchors of many signaling receptors actually play critical roles in receptor signaling, and the diversity of mechanism with which the TM regions can promote signaling is beyond the traditional views in receptor biology. Oligomer labeling (OG-label), the soluble crosslinkable protein (SCP) used is a small protein named GB1 (M.W. = 8.4 kDa). Its N-terminus is linked to a TriNTA molecule via a crosslinker to form the TriNTA-GB1 conjugate. The target TM protein to be examined has a His6-tag. The TriNTA molecule has extremely high binding affinity to His6-tag sequence (20 ¡À 10 nM), which can strongly attach GB1 to the individual protomers of the TMD oligomer in bicelles. TriNTA was synthesized by Medicilon.
Éó²é¸ü¶à
¿çĤ½á¹¹Óò¹Ñ¾ÛÌåµÄ½á¹¹²â¶¨ÐÂÒªÁ죬£¬£¬£¬£¬£¬ÆäÖÐTriNTAͨ¹ýÃÀ¸ß÷ºÏ³É
Jul 10,2025
Ëļ۹ãÆ×ÖкÍË«ÌØÒìÐÔ¿¹ÌåISH0339µÄÁÙ´²Ç°ÆÀ¹Àͨ¹ýÃÀ¸ß÷¾ÙÐÐ
ISH0339, a tetravalent bispecific antibody composed of a pair of non-competing neutralizing antibodies that binds specifically to two different neutralizing epitopes of SARS-CoV-2 receptor-binding domain (RBD) and contains an engineered Fc region for prolonged antibody half-life. ISH0339 bound to SARS-CoV-2 RBD specifically with high affinity and potently blocked the binding of RBD to the host receptor hACE2. ISH0339 demonstrated greater binding, blocking and neutralizing efficiency than its parental monoclonal antibodies, and retained neutralizing ability to all tested SARS-CoV-2 variants of concern. Single dosing of ISH0339 showed potent neutralizing activity for treatment via intravenous injection and for prophylaxis via nasal spray. Preclinical studies following single dosing of ISH0339 showed favorable pharmacokinetics and well-tolerated toxicology profile. ISH0339 has demonstrated a favorable safety profile and potent anti-SARS-CoV-2 activities against all current variants of concern. Furthermore, prophylactic and therapeutic application of ISH0339 significantly reduced the viral titer in lungs. An indirect antigen ELISA assay was used for the detection of ISH0339 in rat serum (Medicilon). tbad003.pngPharmacokinetic analysis of single-dose ISH0339 administration was conducted by. Extended toxicity study of single-dose ISH0339 was conducted by Medicilon.
Éó²é¸ü¶à
Ëļ۹ãÆ×ÖкÍË«ÌØÒìÐÔ¿¹ÌåISH0339µÄÁÙ´²Ç°ÆÀ¹Àͨ¹ýÃÀ¸ß÷¾ÙÐÐ
Jul 03,2025
ÌØÒìÐÔRETÒÖÖÆ¼ÁCPT¿É¸ÄÉÆ°¢¶û´Äº£Ä¬²¡£¬£¬£¬ £¬£¬£¬±¾Ñо¿ÖÐCPTÓÉÃÀ¸ß÷»¯Ñ§²¿·ÖºÏ³É
Reverse electron transport (RET) at mitochondrial complex I generates reactive oxygen species (ROS) and reduces NAD+/NADH ratio. Inhibition of RET genetically or pharmacologically extends animal lifespan and ameliorates Alzheimer's disease©\related phenotypes. CPT acts as an RET inhibitor by binding to complex I (C©\I) 30 kD subunit (C©\I30 or NDUFS3) and altering its interaction with other proteins in the soluble matrix arm of C©\I involved in electron transfer. CPT was obtained from Cerepeut Inc. under a Materials Transfer Agreement between Cerepeut Inc. and Stanford University. The compound was synthesized for Cerepeut Inc. by the Chemistry Branch of Medicilon.
Éó²é¸ü¶à
ÌØÒìÐÔRETÒÖÖÆ¼ÁCPT¿É¸ÄÉÆ°¢¶û´Äº£Ä¬²¡£¬£¬£¬£¬£¬£¬±¾Ñо¿ÖÐCPTÓÉÃÀ¸ß÷»¯Ñ§²¿·ÖºÏ³É
Jul 02,2025
¿Ú·þÓÐÓõÄADAMTS-4/5ÒÖÖÆ¼ÁÒìßÅßáßøõ£°·ÑÜÉúÎ£¬£¬ £¬£¬£¬¿ÉÖÎÁƹÇÊàŦÑ×£¬£¬£¬ £¬£¬£¬±¾Ñо¿Öв¿·Ö½âºÏÎïͨ¹ýÃÀ¸ß÷ºÏ³É
Osteoarthritis (OA) is the most common chronic joint disease that affects the knee or hip with symptoms including joint pain and dysfunction. OA treatment is a highly unmet medical need. Development of a disease-modifying OA drug (DMOAD) is challenging with no approved drugs on the market. Inhibition of ADATMS-4/5 is a promising OA therapeutics to target cartilage degradation and potentially can reduce joint pain and restore its normal function. Herein, researchers report the discovery and optimization of hydantoin-type ADAMTS-4/5 inhibitors featured by a novel isoindoline amide scaffold for the treatment of osteoarthritis. The most promising compound 18 showed high in vitro potency as an ADAMTS-4/5 inhibitor, good druglike properties, and oral bioavailability. Molecule 18 exhibited clear dose-dependent efficacy in two independent in vivo efficacy studies. Part of the compound synthesis was performed at Medicilon.
Éó²é¸ü¶à
¿Ú·þÓÐÓõÄADAMTS-4/5ÒÖÖÆ¼ÁÒìßÅßáßøõ£°·ÑÜÉúÎ£¬£¬£¬£¬£¬¿ÉÖÎÁƹÇÊàŦÑ×£¬£¬£¬£¬£¬£¬±¾Ñо¿Öв¿·Ö½âºÏÎïͨ¹ýÃÀ¸ß÷ºÏ³É
Jul 02,2025
¿Ú·þIRAK4ÒÖÖÆ¼Á¿ÉÔ¤·À¼±ÐÔºôÎüÞ×¾Ý×ÛºÏÕ÷£¬£¬£¬ £¬£¬£¬±¾Ñо¿ÖÐÒÖÖÆ¼Áͨ¹ýÃÀ¸ß÷ºÏ³É
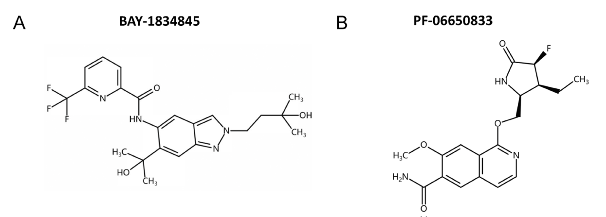
Acute respiratory distress syndrome (ARDS) is a critical respiratory illness associated with infection, autoimmunity, and injuries. However, to date, there are no well-proven pharmacotherapies except dexamethasone. This study is aimed to evaluate IRAK4 inhibitors as a potential treatment for ARDS-cytokine release syndrome (CRS). Researchers applied two IRAK4 inhibitors, BAY-1834845 and PF-06650833 to an inhaled lipopolysaccharide (LPS)-induced ARDS mouse model with control of high dose dexamethasone (10 mg/kg). Unexpectedly, although both compounds had excellent IC50 on IRAK4 kinase activity, only BAY-1834845 but not PF-06650833 or high dose dexamethasone could significantly prevent lung injury according to a blinded pathology scoring. Further, only BAY-1834845 and BAY-1834845 combined with dexamethasone could effectively improve the injury score of pre-existed ARDS. Compared with PF-06650833 and high dose dexamethasone, BAY-1834845 remarkably decreased inflammatory cells infiltrating lung tissue and neutrophil count in BALF. BAY-1834845, DEX, and the combination of the two agents could decrease BALF total T cells, monocyte, and macrophages. In further cell type enrichment analysis based on lung tissue RNA-seq, both BAY-1834845 and dexamethasone decreased signatures of inflammatory cells and effector lymphocytes. Interestingly, unlike the dexamethasone group, BAY-1834845 largely preserved the signatures of na?ve lymphocytes and stromal cells such as endothelial cells, chondrocytes, and smooth muscle cells. Differential gene enrichment suggested that BAY-1834845 downregulated genes more efficiently than dexamethasone, especially TNF, IL-17, interferon, and Toll-like receptor signaling. BAY-1834845 and PF-06650833 are synthesize by Medicilon.
Éó²é¸ü¶à
¿Ú·þIRAK4ÒÖÖÆ¼Á¿ÉÔ¤·À¼±ÐÔºôÎüÞ×¾Ý×ÛºÏÕ÷£¬£¬£¬£¬£¬£¬±¾Ñо¿ÖÐÒÖÖÆ¼Áͨ¹ýÃÀ¸ß÷ºÏ³É
Jul 02,2025
°ÐÏòHGFµÄÈËÔ´»¯ÖкͿ¹ÌåµÄÁÙ´²Ç°¿ª·¢£¬£¬£¬ £¬£¬£¬±¾Ñо¿ÖÐPK/TK¼°ADAͨ¹ýÃÀ¸ß÷¾ÙÐÐ
Hepatocyte growth factor (HGF) and its receptor, cMET, play critical roles in cell proliferation, angiogenesis and invasion in a wide variety of cancers. YYB-101 inhibited cMET activation in vitro and suppressed tumor growth in the orthotopic mouse model of human glioblastoma. The in vitro and in vivo data demonstrated the anti-tumor efficacy of YYB-101, which appeared to be mediated by blocking the HGF/cMET interaction. The preclinical pharmacokinetics, toxicokinetics and tissue cross-reactivity data support the clinical development of YYB-101 for advanced cancer. Pharmacokinetics, toxicokinetics and anti-drug antibodies of YYB-101 in cynomolgus monkeys were conducted by the Test and Control Article Department of Medicilon Preclinical Research, LLC, in accordance with regulations outlined in the USDA Animal Welfare act and conditions specified in The Guide for the Care and Use of Laboratory Animals.
Éó²é¸ü¶à
°ÐÏòHGFµÄÈËÔ´»¯ÖкͿ¹ÌåµÄÁÙ´²Ç°¿ª·¢£¬£¬£¬£¬£¬£¬±¾Ñо¿ÖÐPK/TK¼°ADAͨ¹ýÃÀ¸ß÷¾ÙÐÐ
Jul 02,2025
ASCT1/2ÒÖÖÆ¼Á¿ÉÓÃÓÚÖÎÁƾ«ÉñÆÆËéÖ¢ºÍÊÓ¾õÕϰ­£¬£¬£¬ £¬£¬£¬±¾Ñо¿ÖÐСÊóPKʵÑéͨ¹ýÃÀ¸ß÷¾ÙÐÐ
The N-methyl-D-aspartate receptor coagonist D-serine is a substrate for the neutral amino acid transporters ASCT1 and ASCT2, which may regulate its extracellular levels in the central nervous system (CNS). Phenylglycine (PG) analogs that are inhibitors of ASCT1 and ASCT2. L-4-fluorophenylglycine (L-4FPG), L-4-hydroxyPG (L-4OHPG), and L-4-chloroPG (L-4ClPG) all showed high plasma bioavailability when administered systemically to rats and mice. L-4FPG showed good brain penetration with brain/plasma ratios of 0.7¨C1.4; however, values for L-4OHPG and L-4ClPG were lower. The ability of L-4FPG to penetrate the brain makes this compound a useful tool to further evaluate the function of ASCT1 and ASCT2 transporters in the CNS. Pharmacokinetic studies in rats and mice indicated high bioavailability by intraperitoneal or subcutaneous routes, with t1/2 values that allowed the evaluation of compound effects by a single acute administration in the animal models. Surprisingly, L-4FPG showed good blood-brain barrier penetration, with brain-to-plasma ratios ranging from 0.7 to 1.4 in the rat and from 0.7 to 0.9 in the mouse. L-4OHPG and L-4ClPG had lower values. Pharmacokinetic studies in mice for L-4FPG, L-4OHPG, and L-4ClPG were performed by Medicilon.
Éó²é¸ü¶à
ASCT1/2ÒÖÖÆ¼Á¿ÉÓÃÓÚÖÎÁƾ«ÉñÆÆËéÖ¢ºÍÊÓ¾õÕϰ­£¬£¬£¬£¬£¬£¬±¾Ñо¿ÖÐСÊóPKʵÑéͨ¹ýÃÀ¸ß÷¾ÙÐÐ
Jul 02,2025
MCL1ÒÖÖÆ¼ÁÔÚ¶àÖÖʵÌåÁöºÍѪҺÖ×ÁöÄ£×ÓÖÐÏÔʾ¿¹Ö×ÁöЧ¹û£¬£¬£¬ £¬£¬£¬±¾Ñо¿ÖÐҩЧʵÑéͨ¹ýÃÀ¸ß÷¾ÙÐÐ
Induced myeloid leukemia cell differentiation protein (MCL1) is a crucial member of the B-cell lymphoma-2 (BCL2) family of apoptosis regulators, which play a critical role in promoting cancer survival and drug resistance. PRT1419 is a potent, MCL1 inhibitor with anti-tumor efficacy in various solid and hematologic malignancies. To validate the therapeutic feasibility of MCL1 inhibition in clear cell Renal Cell Carcinoma (ccRCC), researchers sought to investigate PRT1419 in a cell-line derived xenograft (CDX) model of PBRM1-mutant ccRCC. OS-RC-2 harbors a missense mutation in the PBRM1 bromodomain as a potential system to model PBRM1 loss in vivo. Importantly, OS-RC-2 lacks PBRM1 protein expression and can be transplanted into nude mice, generating tumors with histopathological features which closely resemble clinical ccRCC. For the OS-RC-2 model, 1 x 106 OS-RC-2 cells were injected into the right flank of 6¨C9-week-old female BALB/c nude mice. When the tumors were ~200 mm3, mice were randomized into two groups. Animals were either treated with vehicle or 20 mg/kg of PRT1419 administered intravenously, once weekly for three weeks. Researchers observed 42% Tumor Growth Inhibition (TGI) in response to PRT1419 treatment. PRT1419 dosing was well tolerated with no notable body weight loss or behavioral changes. Altogether these findings suggest PBRM1 loss in ccRCC is associated with MCL1 dependency and sensitivity to MCL1 inhibition. CDX studies were performed at Medicilon (OS-RC-2). All studies were performed in accordance with animal research guidelines from Medicilon.
Éó²é¸ü¶à
MCL1ÒÖÖÆ¼ÁÔÚ¶àÖÖʵÌåÁöºÍѪҺÖ×ÁöÄ£×ÓÖÐÏÔʾ¿¹Ö×ÁöЧ¹û£¬£¬£¬£¬£¬£¬±¾Ñо¿ÖÐҩЧʵÑéͨ¹ýÃÀ¸ß÷¾ÙÐÐ
¡Á
ËÑË÷ÑéÖ¤
µã»÷Çл»
¡¾ÍøÕ¾µØÍ¼¡¿¡¾sitemap¡¿